Como se resuelve este problema con sistemas de ecuaciones?
Una empresa de alquiler de coches ofrece dos modelos, uno de cuatro plazas y otro de cinco. Durante el día alquila diez coches en los cuales viajan 42 personas y quedan 2 plazas sin ocupar. Cuantos coches han empleado de cada tipo?
sea x el nº de coches del modelo de cuatro plazas e y el nº de coches del modelo de cinco plazas que se alquilan durante ese día.
sabemos que se han alquilado 10 coches en total, es decir, x + y = 10
por otro lado sabemos que se han alquilado x coches de 4 plazas, es decir, 4x plazas e y coches de 5 plazas, es decir, 5y plazas siendo en total 44 plazas (42 personas + 2 plazas libres), es decir, 4x+5y=44
por lo tanto, el sistema nos queda:
x + y = 10
4x+5y=44
y resolviendo obtenemos que: x = 6 e y = 4
Por lo tanto, y como solución al problema planteado, podemos decir que ese día se han empleado 6 coches de 4 plazas y 4 coches de 5 plazas.
¿Cómo se haría la derivada, tomando logaritmos neperianos, de f(x)= (1+x^2)^(1/x) ?

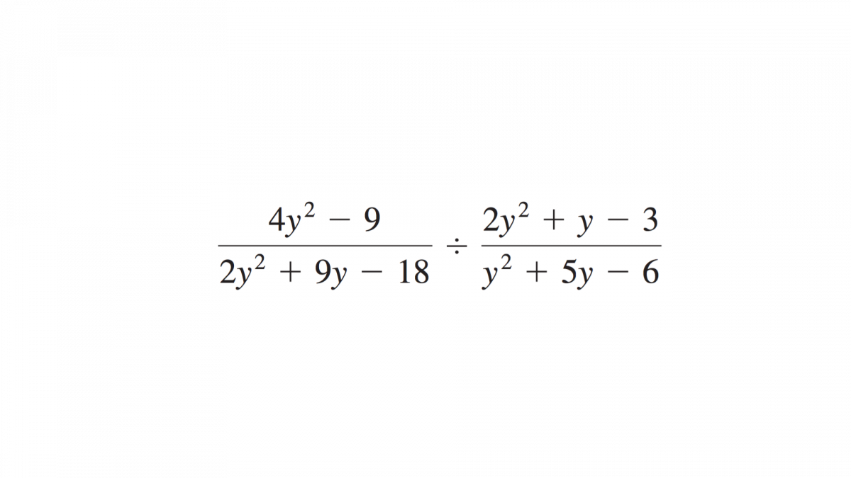
Factoricemos a los numeradores y a los denominadores, todos por separado:
4y2 - 9 = observa que es una diferencia de cuadrados = (2y + 3)(2y - 3) = 2(y + 3/2)*2(y - 3/2) = 4(y + 3/2)(y - 3/2);
2y2 + 9y - 18 = observa que es un polinomio cuadrático = 2(y + 6)(y - 3/2);
luego, la primera fracción queda:
(4y2 - 9)/(2y2 + 9y - 18) = sustituimos = 4(y + 3/2)(y - 3/2) / 2(y + 6)(y - 3/2) = simplificamos = 2(y + 3/2) / (y + 6) (1);
2y2 + y - 3 = observa que es un polinomio cuadrático = 2(y - 1)(y + 3/2);
y2 + 5y - 6 = observa que es un polinomio cuadrático = (y - 1)(y + 6);
luego la segunda fracción queda:
(2y2 + y - 3)/(y2 + 5y - 6) = sustituimos = 2(y - 1)(y + 3/2) / (y - 1)(y + 6) = simplificamos = 2(y + 3/2) / (y + 6) (2);
luego, planteamos la división entre fracciones algebraicas del enunciado:
(4y2 - 9)/(2y2 + 9y - 18) ÷ (2y2 + y - 3)/(y2 + 5y - 6) = sustituimos las expresiones señaladas (1) (2):
= 2(y + 3/2)/(y + 6) ÷ 2(y + 3/2)/(y + 6) = observa que ambas fracciones son iguales = 1.
Espero haberte ayudado.
Alguien que me responda por favor, necesito ayuda con las matemáticas pero estudio un grado medio de deporte (TECO) y no encuentro lo que busco. Un ejemplo de lo que busco sería ayuda para el siguiente problema:
Nuestro destino cierra sus puertas a las 10 de la noche. A que hora tendríamos que salir con un grupo normal sabiendo que tendríamos que recorrer 16 km de distancia reducida y superar un desnivel de 600 metros.
Fórmula para el recorrido por horas de un grupo normal:
300 m/h - desnivel
4 km/h - distancia reducida
Ejercicio:
600m/300m la hora=2h 16km/4km la hora=4h
Ahora a la cantidad mayor se le suma la mitad de la menor y luego se suman un tanto por ciento de imprevistos. En este 10%.
4 +1= 5h + 10 % de imprevistos.
5h = 300 min
Ahora he hecho una regla de tres:
300 min = 100 %
x min = 10 %
300 · 10/100 = 30 min de imprevistos
A la cantidad sin imprevistos se le suman los imprevistos:
5h + 30 min = 5h y 30 min
Por último he restado lo siguiente (y aqui es donde me equivoco):
10:60 - sería lo mismo que 22:00
- 5:30
R: 5:30 - sería lo mismo que 17:30
No se que he hecho mal pero si el grupo sale a las 17:30 llegarían al destino a las 23:00.
Que alguien me ayude por favor
Ya se que probablemente no encuentre la respuesta aqui pero si alguien sabe de algun video, alguna pagina en internet o algo que me pueda ayudar sería de gran ayuda. Muchas gracias de antemano.
Una empresa alquila coches por semana a 400 clientes por u precio de 350€ cada coche. Si por cada 20€que aumenta el precio de alquiler pierde 10 clientes ¿Qué precio poner para que la ganancia se maxima?
Dime que he hecho mal porque en el solucionario da 575€
G(x)=(400-10x)(350+20x) = -200X^2 + 4500X+140000
G'(x)= -400X+4500= 0 ; X= 11,25; Precio = 350+11,25=361,25
Con G''(x) = -400 osea un MAXIMO.