Buenas, Tengo un inconveniente con el siguiente punto...
-Demostrar que (-infinito, a] y [a, infinito), son subconjunto cerrado de los reales.
Gracias de antemano!

En la recta real, un conjunto abierto es un intervalo abierto o una unión (finita o numerable) de intervalos abiertos. En un conjunto abierto A , todos sus puntos son interiores, esto es, podemos encontrar un entorno de cada punto totalmente contenido en A.
Un conjunto es cerrado cuando su complementario es abierto. Esto es: un intervalo cerrado, una semirrecta cerrada o la intersección de conjuntos de este tipo.
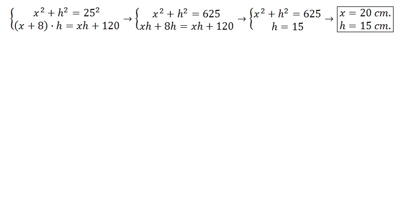
La diagonal de un rectangulo mide 25 cm, Si la base aumenta en 8 cm, el area aumenta en 120cm2. Cuales son las medidas?
Esta bien el planteamiento de este sistema: 25^2 =(8+x)^(2) + h^2 y la segunda del sistema 120= [(8+x)(h)]/2
Hola chicos tengo una duda sobre un ejercicio de matrices. En el apartado a) dice : Halla el valor que sea compatible en el sistema.
-Yo he realizado el determinante del sistema y me dio m^2. ahora mi pregunta es ¿termino diciendo que no hay solución real por lo que es un SCD?¿y por que? o ¿ tengo que ponerle algún valor real?
Solo es el apartado a) Gracias.
El determinante de la matriz debe dar distinto de cero para que el rango de esa matriz sea 3 y así el sistema sea SCD.
Como el determinante da de valor m^2, lo igualamos a cero y despejamos m^2=0, m=0.
Entonces, si m=0, el determinante es cero y el rango sería uno y tendríamos un sistema SCI, infinitas soluciones.
Por lo tando, la solución es que el m debe ser DISTINTO de cero, para que sea un SCD.
Saludos.
Holaa! Estoy estudiando continuidad y discontinuidad de una función, y a pesar de haberme visto los videos me sigue resultando difícil
Como te refieres a continuidad y discontinuidad, me centro en el apartado c).
Estudiar la continuidad para x=3, calculas los límites laterales considerando los dos trozos de la función f(x), puesto que el punto de inflexión en el que se dividie la función f(x) en dos trozos, es en x=3.
Estudiar la continuidad para x=-3. Nos fijamos en el segundo trozo de la función que es para x≤3 (se incluye el -3). Como se nos anula el denominador, tenemos que el límite de esa función en x=-3 es infinito, tenemos una asíntota vertical, por lo que la función es discontínua y de salto infinito e inevitable.
Espero haberte aclarado algo.
Saludos.