Hola Unicoos!
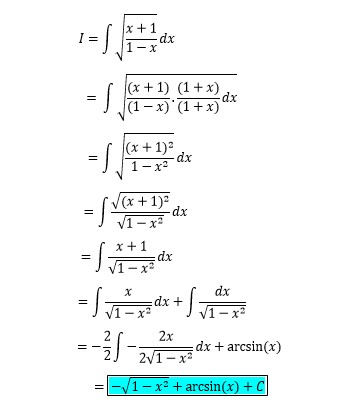
Tengo dos integrales para resolver y necesito ayuda.
La primera tiene que dar el resultado que queda debajo. Podría usar conjugado o escribir la integral como una multiplicación, pero si hago eso, la división va a desaparecer y eso no me conviene, si no, no me quedará la integral de u'(x)/u(x), necesaria para que me de ese resultado.
En la segunda directamente no tengo idea. Puedo escribir la raíz como el numerador elevado a 1/3, pero si derivo u=5x, por más de que "invente" un número por fuera, no me queda algo parecido a alguna regla.
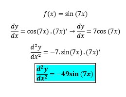
hola!!! alguien me puede ayudar con esto? cual es la derivada de sin x^2 ?

Alien te voy a poner una especie de uso que a mí me suele ir bien en derivadas facilitas de funciones trigonométricas:
Te dan f(x)=sen (x²), pues bien: Tu empiezas haciendo aparte la misma función pero con x, es decir g(x)=sen (x). Esta derivada es directa, como sabemos pero en el fondo podemos hacer regla de la cadena también, y sería:
g'(x)= cos(x)·1 "derivada del seno de x es el coseno de x y todo multiplicado por su derivada interna, es decir por la derivada de x, que sabemos que es 1 y no lo ponemos"
Pues bien ponemos ahora la que nos han pedido que es un poco más "difícil"
f(x)=sen (x²)= cos (x²)·2 x = 2 x cos (x²) "derivada del seno de x² es el coseno de x² y todo multiplicado por su derivada interna, es decir por la derivada de x², que sabemos que es 2x"
Yo, hago esto en algunas y me ha ido bien. Un Saludo.
Hola a todos. Me dieron una tarea para resolver, y no estoy muy seguro si lo que hice está bien o mal. Me gustaría, si por favor, alguien me pudiera decir si está bien o mal lo que hice. Y si está mal, que me pudieran explicar, este tipo de ejercicios realmente me cuestan mucho.
Muchas gracias.
Determinar los valores de a, b, c y d de manera que la función F satisfaga la hipótesis del teorema del valor medio en el intervalo cerrado (-1,2)
Hola Antonio, gracias por responder. Estuve analizando los resultados que te dieron, y tengo un problema. Cuando hago el límite por izquierda de 1 de bx elevado a la dos más c y el limite por derecha de 1 de dx más 4 no me coinciden los resultados con los valores que te dieron a vos. Me queda como que no es continua con esos valores
Por favor si me pudieran ayudar con este ejercicio es de urgencia !!
En un tiempo t=0, hay un cubo de lado 2 cm, de pronto uno de sus lado empieza a crecer a 0.5 m/s y el otro a 0,7 m/s, Determine a que velocidad varia el area lateral del cubo cuando hayan pasado 5 minutos ..

Lo siento pero es un ejercicio de RAZON DE CAMBIO.... Lamento de todo corazon no poder ayudarte, pero unicoos (por ahora) solo llega hasta bachiller con matemáticas, física y química. Tu duda se da en la "uni". Espero lo entiendas... Por si te ayuda, grabé hace tiempo un par de excepciones. Razon de Cambio 01 Animo!