Hola, necesito su ayuda urgentemente. Por favor ayúdenme en este problema: Sea I un intervalo y F: I entonces R estrictamente monótona. Probar que F es continua si solo si F(I) es un intervalo.
Espero su ayuda, lo necesito con urgencia. Gracias de antemano.
Consulta urgente! Tengo examen mañana. En este video: http://www.unicoos.com/video/matematicas/1-bachiller/aplicaciones-de-la-derivada/derivabilidad/derivabilidad-de-una-funcion-a-trozos
Cuando se calcula la imagen F(1)=3, se Reemplaza sólo donde está el menor o igual o en ambas funciones? En caso de que la imagen no de lo mismo que los límites significa que no es continua, verdad? Gracias.
hola unicoos queria saber como expresar el Grado de Indeterminacion y su ecuacion ???? (Ex.Final de Algebra y Geometria Analitica) de un Sistema Compatible Indeterminado- infinitas soluciones ....saludos Tucuman-Argentina.

Hola.
El grado de indeterminacion es el número de incógnitas libres. Rango de la matriz ampliada - Rango de la matriz de coeficientes
Echa un ojo:
https://www.youtube.com/watch?v=xnRasQjUEf4
https://www.youtube.com/watch?v=xklVUv8-cZI
https://www.youtube.com/watch?v=nqvkVTTsYPA
Hola me podrían ayudar, explicar como resolver este ejercicio de geometría de 1º de bachillerato, gracias.
1)Considera dos puntos A y B tales que d(A,B)=5cm
a)Determina el lugar geometrico de D sabiendo que ABCD es un paralelogramo con el ángulo ADB=30º
b)Halla el lugar geometrico del punto C al variar D
c)De los paralelogramos de la familia construir aquellos que son rombos. ¿Alguno de la familia podría ser cuadrado? Justifica tu respuesta.
d)Para un rombo construido en la parte c determinar una isometría directa que transforma AC en BD.
GRACIAS.

Se trata de que DESPUES DE IR A CLASE (ver los vídeos relacionados con vuestras dudas) enviéis dudas concretas, muy concretas. Y que nos enviéis también todo aquello que hayais conseguido hacer por vosotros mismos. Paso a paso, esté bien o mal. No solo el enunciado. De esa manera podremos saber vuestro nivel, en que podemos ayudaros, cuales son vuestros fallos.... Y el trabajo duro será el vuestro. #nosvemosenclase Nos cuentas ¿ok?
Te sugiero al menos este video... Geometria en el plano 01

gracias Dabid, ya había desistido de que me contestaran, y si como tu dices,sería mas fácil, si yo fuese a clase, pero es que estudio por Internet y en toda la red no encontrado nada que se le parezca, y el viernes es mi examen de matemáticas B, gracias igual porque en otros temas me han ayudado un montón.
Unicos, me podrán decir si esta bien resuelto el siguiente ejercicio, la consigna es Para cada una de las siguientes funciones, hallar los puntos críticos y luego analizar si tienen máximos y mínimos absolutos en los intervalos que se indican; los intervalos no indicados se sobreentienden como todo el campo de existencia de la función de la función
f(X)=1/(x^2+3) en [-5,5]
Muchas gracias

Primero observa que la función es continua en el intervalo indicado.
Luego, observa que te faltó un signo en el numerador de la expresión de la derivada primera, que queda:
f ' (x) = -2x / (x^2 + 3)^2
observa que la derivada existe en todos los puntos del intervalo,
luego igualamos a cero para buscar puntos críticos (o singulares):
-2x / (x^2 + 3)^2 = 0 (observa que en tu desarrollo has cambiado sin querer un signo en el denominador de la expresión de la derivada)
como el divisor no es cero en todo el intervalo, hacemos pasaje de divisor como factor:
-2x = 0*(x^2 + 3)^2
resolvemos a la derecha, y pasamos el factor como divisor, y llegamos a:
x = 0/(-2)
x = 0, que pertenece al intervalo, y es punto crítico (observa que no hay otro punto crítico en el intervalo).
Por lo tanto, tenemos dos subintervalos como bien has indicado, y estudiamos para ellos el signo de la derivada primera (observa que el denominador de la expresión de la derivada es siempre positivo, por lo que el signo "se decide" estudiando solamente el numerador)
en (-5 , 0) tenemos que f ' (x) > 0 (la derivada es positiva) y la función es creciente,
en (0 , 5 ) tenemos que f ' (x) < 0 ( la derivada es negativa) y la función es decreciente.
Luego, como el intervalo es cerrado, evaluamos la función en sus extremos y en el punto crítico:
f(-5) = 1/28
f(0) = 1/3
f(5) = 1/28
por lo tanto concluimos:
f alcanza máximo absoluto en x = 0, con f(0) = 1/3,
f alcanza mínimo absoluto en x = -5, con f(-5) = 1/28, y también en x = 5, con f(5) = 1/28.
Debes también tener en cuenta el siguiente Teorema:
Si una función es continua en un intervalo cerrado, entonces alcanza máximo absoluto y mínimo absoluto en dicho intervalo.
Espero haberte ayudado.
Hola Unicos!!. Me pueden ayudar por favor con este ejercicio,
La consigna es Para cada una de las siguientes funciones, hallar los puntos críticos y luego analizar si tienen máximos y mínimos absolutos en los intervalos que se indican; los intervalos no indicados se sobreentienden como todo el campo de existencia de la función.
Agradesco su ayuda

Hola
Esto puede ayudarte; echa un ojo a este video
Maximos minimos y puntos de inflexion

Se trata de que DESPUES DE IR A CLASE (ver los vídeos relacionados con vuestras dudas) enviéis dudas concretas, muy concretas. Y que nos enviéis también todo aquello que hayais conseguido hacer por vosotros mismos. Paso a paso, esté bien o mal. No solo el enunciado. De esa manera podremos saber vuestro nivel, en que podemos ayudaros, cuales son vuestros fallos.... Y el trabajo duro será el vuestro. #nosvemosenclase Nos cuentas ¿ok? ANIMO!
Este video te vendrá genial... Crecimiento y curvatura de una función polinomica
Hola , alguien me ayuda con este ejercicio? Se trata de estudiar la igualdad entre funciones , y si hay algun video relacionado. gracias

Observa que estamos tratando con la composición de dos funciones que son inversas entre sí.
Pero, debemos tener en cuenta cuáles son sus dominios e imágenes:
para la función logaritmo natural, su dominio es (0 , +inf) (conjunto de los números reales positivos no nulos), y su imagen es (-inf , +inf) (conjunto de los números reales);
para la función exponencial natural, su dominio es (-inf , +inf), y su imagen es (0 , +inf).
Observa ahora ambas funciones:
f1 resulta de la composición de la función logaritmo con la función exponencial, por lo que su dominio es (0 , +inf) y su imagen es (0 , +inf);
f2 resulta de la composición de la función exponencial con la función logaritmo, por lo que su dominio es (-inf , + inf) y su imagen es (-inf , +inf).
Debes tener en cuenta que una vez establecidos, la primera función de la composición establece el dominio (que puede ser el suyo, o un subconjunto de él).
Es muy importante tener en cuenta que la fórmula por si misma no determina una función, sino que es necesario además indicar su dominio.
Por lo tanto, por composición de funciones inversas entre si, verás que las dos funciones tienen la misma fórmula:
f1(x) = x,
f2(x) = x,
pero las dos funciones son distintas, porque tienen dominios distintos (y, además, imágenes distintas).
Espero haberte ayudado.
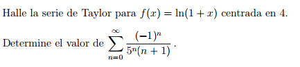
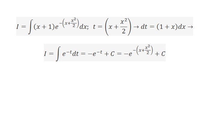
Hola, no he logrado desarrollar estos ejercicios, quisiera saber si alguno me pudiera colaborar, especialmente con el segundo.
Muchas gracias a todos.

Te envío una foto.
Observa que hemos planteado la serie con índice a, y luego hemos hecho un cambio de índice mediante la sustitución n = a - 1.
Observa que para determinar el valor de suma, hemos hecho la identificación del valor de la función para x = 5 con el valor que toma la serie para x = 5.
Espero haya quedado legible, y espero también haberte ayudado.