hola, alguien pudiera resolver este pequeño problema: un hacendado compro 35 caballos, si hubiera comprado 5 más entonces cada caballo le hubiera costado 10 dolares menos, ¿ Cuánto le costo cada caballo?

hay algo que no me queda claro, entiendo que si hubiera comprado 40 caballos , cada uno le hubiera salido 10$ menos, entonces no los compra al mismo precio, dado que costaran 10 menos cada uno. lo cual el segundo precio es x-10 pero no pueden costar los 40 caballos igual que los 35 caballos, no me parece lógico. no profesor? eso es algo que no entiendo, espero me podría explicar esta duda. se lo agradecería.
Hola!!. Buenas, me podrán ayudar por favor con el ejercicio b) , es mediante la derivada primera
Lo que he hecho es, derivar la función y´=2x-6 y luego la igual a 0 para encontrar el punto crítico que es x=-3
Me pueden decir como debo continuar
Gracias
1- Haz un cuadro donde evaluas los signos de la derivada teniendo en cuenta que si es positiva crece o decrece
2- Los maximos y minimos te los dara el cambio de crecimiento:
Sea el cambio de positivo a negativo maximo
Sea el cambio de negativo a positivo minimo
Luego evaluas en la funcion principal los valores ( Ejemplo: Sea 3 el cambio de positivo a negativo en los signos de la derivada el Maximo es F(3)
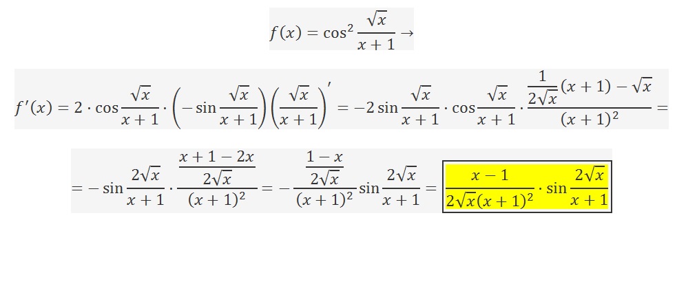
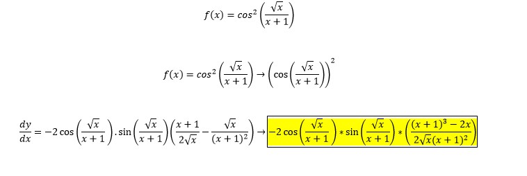
Buenas. Me podrían ayudar (detalladamente si es posible) con esta derivada? lo intenté muchas veces y no me da el mismo resultado que tengo en el libro.
MUCHAS GRACIAS.
Hola, necesito ayuda con la simplificación de las derivadas que he adjuntado. He intentado racionalizar y sacar denominador común pero me quedan bastante más complejas.
¿como calcular una recta perpendicular a otra que pase por un punto en el espacio? por ejemplo recta r ( 2x-y=0 ; x-z+1=0) y punto (1,-1,1)?
he empezado pero no se seguir
el vector director de r es (1,2,1) este multiplicado por el de la recta s (a , b, c) debe ser = 0 para que sea perpendicular 1a + 2 b+1c
y por otro lado
recta r -->> x = t
y =2t
z = 1+t
recta s-->> x = 1+a h
y= -1+bh
z= 1+ ch
1+ah = t
-1+bh=2t
1+ch = 1+t
aqui ya no se que mas hacer para poder sacar algo
La estrategia a seguir es la siguiente:
Pasa la recta a paramétrica.
1. Calcula el plano que pasa por P y es perpendicular a r. Para ello necesitas un punto (que lo tienes) y un vector normal al plano (el de la resta r)
2. Calcula el punto de corte de ambos (plano y recta)
3. Halla la recta que pasa por el punto de corte anterior y P. Esa es la recta buscada.
Si no te sale nos cuentas
Hola Saludos!!
necesito su ayuda por favor:
Problema de Optimizacion:
Los Barriles que se utilizan para almacenar petroleo, tienen forma cilindrica con una capacidad de de 160Lts.
Me piden calcular: las dimensiones (radio y altura) del cilindro para que la cantidad (area superficial) de lamina metalica sea Minima!