Hola! estoy teniendo problemas con este ejercicio de límites, me piden demostrar por definición. Debo estar olvidándome de alguna propiedad de valor absoluto. Si me pueden ayudar, me vendría genial!
Hola,
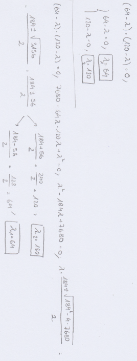
no se realizar esta ecuación con suma de fracciones e incognitas en el denominador. No localizo el vídeo...
y no sé por que la solución es la que da, cuando x²=25/4 no es x²=5/2, no?
Gracias de nuevo Unicoos

Puedes comenzar por separar en términos, y resolver cada uno de ellos por separado, lo haces y queda:
1 - 4 / x^2 - 9 / (4 * x^2) = 0 (observa que x = 0 no puede ser una solución, porque anula denominadores).
Luego puedes extraer denominador común 4 * x^2, lo haces y queda:
(4 * x^2 - 16 - 9) / (4 * x^2) = 0
Luego, como ya hemos aclarado que x no puede ser igual a cero, hacemos pasaje de divisor como factor y queda:
4 * x^2 - 25 = 0;
que resulta ser una ecuación polinómica cuadrática incompleta, hacemos pasaje de término y queda:
4 * x^2 = 25
luego hacemos pasaje de factor y queda:
x^2 = 25/4
y por último, hacemos pasaje de potencia como raíz:
x = V(25/4)
que nos da dos soluciones distintas de cero:
x1 = 5/2, x2 = -5/2.
Espero haberte ayudado.
Hola!
¿alguien sabe por qué en la sustitucion en la 3ª ecuacion de este sistema de ecuaciones, se le quita el signo -?
-(xy-50)=0
Gracias!