Foro de preguntas y respuestas de Matemáticas

logo beUnicoos
Los foros de unicoos se han unificado en nuestra nueva plataforma beUnicoos. Para dejar nuevas preguntas deberás hacerlo allí, donde además podrás encontrar nuevas asignaturas y herramientas para ayudarte más con tus estudios.

  • icon

    paula
    el 17/4/17

    Serían también tan amables de echarme un cable con este otro ejercicio? no sé cómo plantearlo. Gracias de nuevo.

    replythumb_up0 voto/sflag
    icon

    Antonius Benedictus
    el 17/4/17

  • icon

    paula
    el 17/4/17

    Buenos días. Podría alguien ayudarme con este problema? No sé cómo plantearlo. Gracias

    replythumb_up0 voto/sflag
    icon

    Antonius Benedictus
    el 17/4/17


    thumb_up1 voto/sflag
  • icon

    Teresa
    el 17/4/17

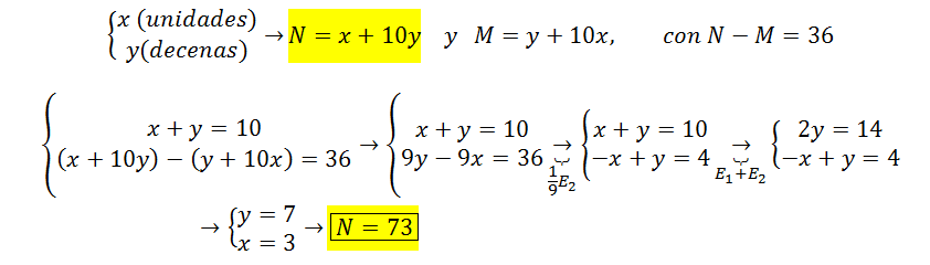
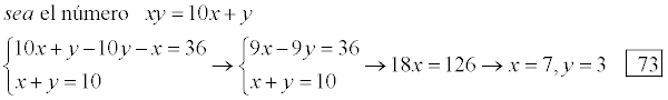
    Buenos días. Alguien me podría solucionar este problema? Se q la solución es 73 pero no consigo la manera de hacerlo. El enunciado es: la diferencia entre un número y el q resulta de invertir sus cifras es 36, y la suma de las mismas es 10. Calcula dicho número. 

    replythumb_up0 voto/sflag
    icon

    César
    el 17/4/17


    thumb_up0 voto/sflag
    icon

    Antonius Benedictus
    el 17/4/17


    thumb_up1 voto/sflag
  • icon

    Guillem De La Calle Vicente
    el 17/4/17

    Calcular

    Calcular

    Utilicé coordenadas esféricas y obtuve una respuesta Mi solución:

    Entonces hago el cambio de variables


    Entonces tenemos


    ¿Es eso correcto? Parece un poco dudosa.

    replythumb_up0 voto/sflag
    icon

    Antonius Benedictus
    el 17/4/17

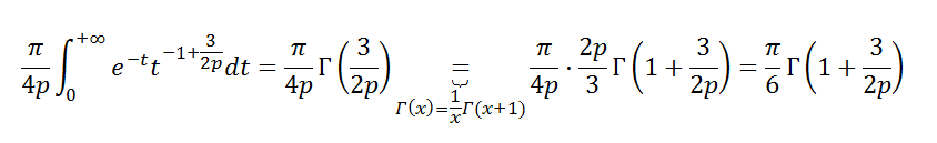
    Resultado de wolfram:


    thumb_up0 voto/sflag
    icon

    Antonius Benedictus
    el 17/4/17

    La p está en el denominador.


    thumb_up0 voto/sflag
  • icon

    Sandy Murillo S...
    el 17/4/17

    Hola estimados amigos de unicoos.

    Quisiera pedirles que me puedan ayudar en el tema de derivación implícita.

     // Dada x2/3   +  y2/3  = 1.

    Encuentre:

    - Las rectas horizontales que son tangentes a la curva.

    - Las rectas verticales que son tangentes a la curva.


    De antemano les doy muchísimas gracias a la persona que me ayude. Saludos

    replythumb_up0 voto/sflag
    icon

    Antonius Benedictus
    el 17/4/17


    thumb_up0 voto/sflag
    icon

    Sandy Murillo S...
    el 17/4/17

    Disculpe, me surgió una duda, quizas porque se comió el menos (-) al derivar....



    Bueno, para esta duda escojo un punto al azar, yo preferí escoger (1,0), se supone que ahí deverian de haber dos rectas tsngentes, una recta vertical y una recta horizontal ( y coincidencia que esta recta también es tangente al punto (-1,0) , pero como solo analizo el punto (1,0) , supongo que hay solo dos rectas en esté punto )


    ¿ Este mismo razonamiento es válido para los otros puntos (-1,0), (0,1) y (0,-1) ?

    thumb_up0 voto/sflag
    icon

    Antonius Benedictus
    el 17/4/17

    En efecto. Me comí el signo, pero no afecta al resultado.

    thumb_up0 voto/sflag
  • Usuario eliminado
    el 17/4/17

    Lo subo completo perdón:

    replythumb_up0 voto/sflag
    icon

    César
    el 17/4/17

    revisa el crecimiento y decrecimiento , mira la grafica de la curva y su derivada(en azul a trozos) y observa que es negativa entre -1, y 1, decrece.

    thumb_up1 voto/sflag
    icon

    Ángel
    el 17/4/17


    Como te lo has "currao" estos días te lo mando tal y como creo que este ejercicio se tiene que solucionar según el enunciado para que si quieres lo entregues correctamente.

    thumb_up1 voto/sflag

    Usuario eliminado
    el 17/4/17

    Muchas gracias Maths, ya fue entregado, y ahora con el tema trabajo y clases por las tardes, poco tiempo para nada.

    Mañana a repasar y a meterme a fuego las formulas en la cabeza. Haber si apruebo :)

     

    thumb_up0 voto/sflag
  • icon

    Deidara Stick.
    el 17/4/17

    Hola!!

    Alguien puede por favor ayudarme... con el problema adjunto en la imagen....

    Os ruego ayuda por favor.

    Muchas gracias de antemano amigos.


    replythumb_up0 voto/sflag
    icon

    Antonius Benedictus
    el 17/4/17


    thumb_up0 voto/sflag
    icon

    Antonio Silvio Palmitano
    el 17/4/17

    Racuerda la definición de función signo:

    sgn(x) = 

    -1          si x < 0

    0           si x = 0

     1          si x > 0

    Luego, observa que si dibujas la región que debes rotar alrededor del eje coordenado OY, verás que es un rectángulo cuyos lados verticales pertenecen a las rectas cuyas ecuaciones son: x = 1/2 (que es la más lejana del eje OY) y x = 0 (que coincide con el ejej OY), y sus lados horizontales pertenecen a las rectas cuyas ecuaciones son: y = 1 e y = 0.

    Luego, el volumen de revolución generado al rotar el rectángulo alrededor del eje OY queda (indicamos con corchetes que debemos evaluar con Regla de Barrow entre y = 0 e y = 1):

    V = π*∫ (1/2 - 0)2*dy = (π/4)*∫ dy = (π/4)*[ y ] = evaluamos = (π/4)*(1 -0) π/4 u3.

    Espero haberte ayudado.

    thumb_up0 voto/sflag
  • icon

    Marta
    el 17/4/17

    Esta bien hecha la inversa de la matriz?

    replythumb_up0 voto/sflag
    icon

    Antonio Silvio Palmitano
    el 17/4/17

    Debes corregir:

    Observa el cálculo del determinante: |A| = (√(5) + 0 + 0) - ( 0 + 0 - 4√(5) ) = √(5) + 4*√(5) = 5*√(5).

    Observa que el signo del segundo elemento de la matriz adjunta de la matriz A tiene signo positivo.

    Por último, recuerda que si efectúas los productos de la matriz A por su inversa en cualquier orden, debes obtener la matriz identidad de orden tres.

    Espero haberte ayudado.

    thumb_up0 voto/sflag
  • icon

    Jonathan Faundez
    el 17/4/17
    flag

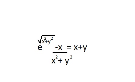
     HOLA A TODOS , PUEDEN AYUDARME A REALIZAR ESTE EJERCICIO , ES DE DERIVACIÓN IMPLÍCITA , SOLO PUEDO DERIVAR Y AHÍ QUEDO EN BLANCO , NOSE COMO SEGUIR . SALUDOS Y GRACIAS!

    replythumb_up0 voto/sflag
    icon

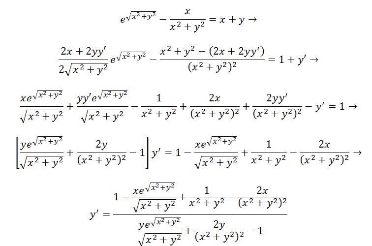
    Antonius Benedictus
    el 17/4/17


    thumb_up1 voto/sflag