
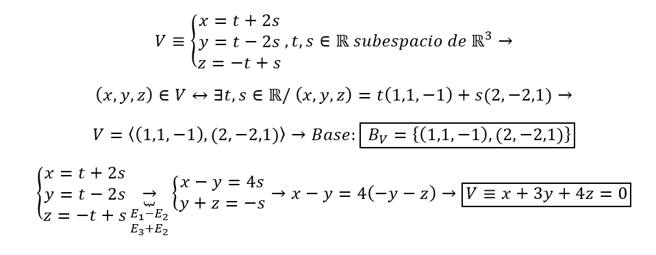
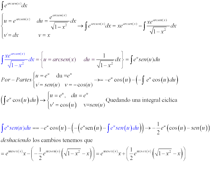
Vamos con una orientación que conduce a otra forma equivalente para resolver la integral de tu enunciado.
Tienes la integral:
I = ∫ earcsenx*dx (1);
aquí planteas la sustitución (cambio de variable):
x = senw (*),
de donde tienes:
dx = cosw*dw (2),
también tienes:
arcsenx = arcsen(senw) = w (3).
Luego, sustituyes las expresiones señaladas (2) (3) en la integral señalada (1), y queda:
I = ∫ ew*cosw*dw (4).
Luego, puedes aplicar el Método de Integración por Partes, y tienes:
u = cosw, de donde tienes: du = -senw*dw,
dv = ew*dw, de donde tienes: v = ew;
luego aplicas el método, y la integral señalada (4) queda:
I = ew*cosw - ∫ ew*(-senw*dw), extraes el factor -1 de la segunda integral, y queda:
I = ew*cosw + ∫ ew*senw*dw (5).
Luego, puedes aplicar el Método de Integración por Partes en la integral secundaria, y tienes:
u = senw, de donde tienes: du = cosw*dw,
dv = ew*dw, de donde tienes: v = ew;
luego aplicas el método, y la ecuación señalada (5) queda:
I = ew*cosw + ew*senw - ∫ ew*cosw*dw (6).
Luego, sustituyes la expresión señalada (4) en el último término de la ecuación señalada (6), y queda:
I = ew*cosw + ew*senw - I,
sumas I en ambos miembros, y queda:
2*I = ew*cosw + ew*senw,
aplicas la identidad trigonométrica del coseno en función del seno en el primer término del segundo miembro, y queda:
2*I = ew*√(1 - sen2w) + ew*senw,
extraes factor común en el segundo miembro, y queda:
2*I = ew*( √(1 - sen2w) + senw ),
multiplicas por 1/2 en ambos miembros, consignas la constante de integración, y queda:
I = (1/2)*ew*( √(1 - sen2w) + senw ) + C (6).
Luego, sustituyes las expresiones señaladas (*) (3) en la ecuación señalada (6), y queda:
I = (1/2)*earcsenx*( √(1 - x2) + x ) + C.
Espero haberte ayudado.
Buenas tardes, podéis ayudarme con este ejercicio, gracias.
-Sea G el grafo de la figura siguiente:
A) Demostrar que la máxima longitud de un camino en G que no repita aristas es 13
B)Encontrar uno de esos caminos
--------------------------- OPTIMIZACIÓN ---------------------------
Para inscribirse en un club de campo hay que abonar 200 dólares anuales ,retándole al importe 1 dólar por cada miembro que sobrepase los 1000 socios ; y sumándole 1 dólar por cada miembro que se adhiera mientras el número de socio sea inferior a 1000.¿Cuál es el número de socios que maximiza el ingreso por inscripción ?
No se ni por donde empezar.
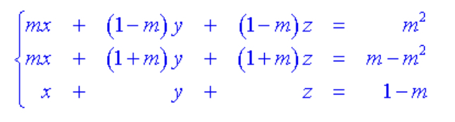
tengo que resolver y discutir un sistema en funcion del parametro real m (lo dejo en la imagen, en azul)
Lo primero que he hecho ha sido hacer el determinante y me da 0. De ahí deduzco que es un SCI o SI. Calculo el rango de la matriz A y me da 2, calculo la de la ampliada y me da 3. Por lo tanto, es un SI, porque el rango de la ampliada es distinto de la normal.
Sin embargo, en las soluciones determinan que es un SCI. (Tambien las dejo en la imagen).
no entiendo donde podría estar mi error porque creo que el planteamiento es correcto.
gracias