Foro de preguntas y respuestas de Matemáticas

logo beUnicoos
Los foros de unicoos se han unificado en nuestra nueva plataforma beUnicoos. Para dejar nuevas preguntas deberás hacerlo allí, donde además podrás encontrar nuevas asignaturas y herramientas para ayudarte más con tus estudios.

  • icon

    Dimi Alemany
    el 22/6/18

    Tengo una duda i (√-1) tiene un valor mayor menor o igual a 0? En caso de que no no sea ninguna de las anteriores me gustaría saber el porque.

    Gracias de antemano.


    replythumb_up0 voto/sflag
    icon

    Evaristo Galés
    el 22/6/18


    thumb_up1 voto/sflag
    icon

    Dimi Alemany
    el 22/6/18

    Por lo tanto que operación seria mayor (c+ci) o (c-ci).

    En el caso de que ninguna de las dos fuese mayor como interpretarías esta solución (c+-ci) ?


    thumb_up0 voto/sflag
  • icon

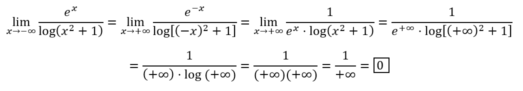
    britnny hermoso
    el 22/6/18

    Hola, buenos días.

    Hay un limite que no consigo resolver de ninguna manera, no se me ocurre nada lógico que aplicarle. Según el solucionario del libro debería dar 0. Me podríais dar una pista de como se hace? Gracias. 


    limx->-infinitoex/log (x2+1) 

    replythumb_up0 voto/sflag
    icon

    Evaristo Galés
    el 22/6/18


    thumb_up0 voto/sflag
  • icon

    Eduardo Enrique Gutierrez Poblete
    el 22/6/18

    Hola buenas a todos! Necesito ayuda con este ejercicio de continuidad de una función 

    Seria de gran ayuda que alguien me explicara como abordar el problema.

    replythumb_up0 voto/sflag
    icon

    Evaristo Galés
    el 22/6/18


    thumb_up1 voto/sflag
    icon

    Eduardo Enrique Gutierrez Poblete
    el 22/6/18

    Genial!!!! Gracias mil gracias , tengo una duda jejeje que programa usas para mandar tus respuestas ?

    thumb_up0 voto/sflag
    icon

    Evaristo Galés
    el 22/6/18

    El editor de ecuaciones de WORD-Office.

    thumb_up1 voto/sflag
  • icon

    Nico Tornero
    el 22/6/18

     Ayuda en esto que me esta haciendo sufrir por favor!

    replythumb_up0 voto/sflag
    icon

    Evaristo Galés
    el 22/6/18


    thumb_up1 voto/sflag
  • icon

    Santiago
    el 22/6/18

    AYUDA: que pasa cuando tengo tres matrices dentro de un paréntesis traspuesto? O sea: (ABC)^T... como trabajo con eso? y si fuera así: (A(B^T)C)^T ------> Sabiendo que C es idempotente. No tengo valores, es operatoria de ecuación con matrices nada más.

    replythumb_up0 voto/sflag
    icon

    Evaristo Galés
    el 22/6/18


    thumb_up0 voto/sflag
    icon

    Santiago
    el 22/6/18

    perfecto eso, pero cuando son tres matrices?

    thumb_up0 voto/sflag
  • icon

    Sanjay Sirwani
    el 22/6/18

    Hola,alguien podría ayudarme por favor diciéndome cuál es la forma de resolver ecuaciones trascendentes de tipo por ejemplo: 2x + x= 6 donde la incógnita x aparece combinada como base y exponente a la vez ??...Gracias.



    replythumb_up0 voto/sflag
    icon

    César
    el 22/6/18

    En este caso se puede usar la función de Lambert W

    https://es.wikipedia.org/wiki/Funci%C3%B3n_W_de_Lambert


    thumb_up0 voto/sflag
    icon

    Sanjay Sirwani
    el 23/6/18

    Gracias.

    thumb_up0 voto/sflag
  • icon

    Laura
    el 22/6/18

    Hola a todos, como puedo seguir para despejar x? Gracias 

    replythumb_up0 voto/sflag
    icon

    Eduardo Enrique Gutierrez Poblete
    el 22/6/18

    Amiga peras con peras y manzanas con manzanas, es decir, agrupe en un lado todos los números que llevan "equis" y en otro lado todos los numeros solitos (como yo jejejeje) luego factoriza la "equis" y despeja!

    Solucion:

    (20 3) X (4X 3)=5

    Moveré todas las "EQUIS" al lado derecho para que me queden positivas y el 5 lo moveré al lado izquierdo

    (20 3)+5=X +(4X 3)         (Notar Factor Común y sacarlo)

    (20 3)+5=X(1+4 3)           (Si aplica regla de distribución obtendrá la expresión de arriba)

    Luego como a "equis" se esta multiplicando con otro producto, este pasa dividiendo hacia el otro lado.

    X=[(20 3)+5] ÷[1+(4 3)]

    Espero haber ayudado.




    thumb_up1 voto/sflag
  • Usuario eliminado
    el 22/6/18

    Hola, alguien me podría explicar como resolver este problema, tengo la respuesta pero me gustaría saber como se llegó a ella (la respuesta es: 1):

    Muchas Gracias

    replythumb_up0 voto/sflag
    icon

    César
    el 22/6/18

    La secuencia a partir de la última casilla escrita es  4 5 1 2 3   si tenemos 40 casillas más será   40mod(5)=0, por lo que la cifrá será  un 3.

    No coincide con tu respuesta.


    thumb_up0 voto/sflag
  • icon

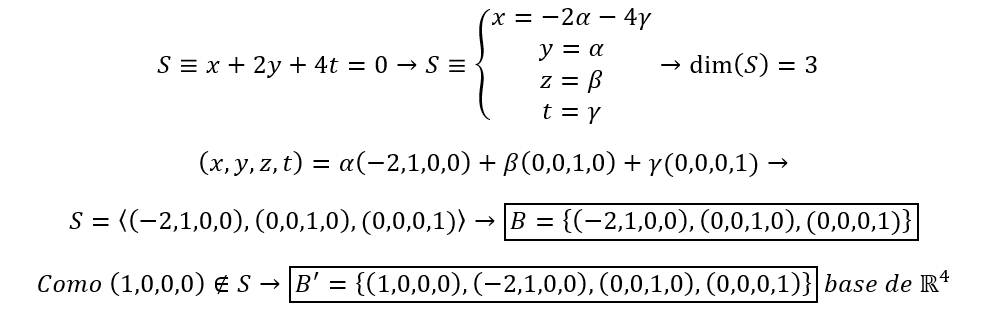
    Daniel Madrid
    el 22/6/18

    Hola ¿alguien podria ayudarme ?: Si tienes un subespacio vectorial S= ((x,y,z,t) en R^4/x+2y+4t = 0) y calculas la Base B de S ¿Como se completa la base B obtenia para que la base B´sea de R^4?

    replythumb_up0 voto/sflag
    icon

    Evaristo Galés
    el 22/6/18


    thumb_up1 voto/sflag
  • icon

    Ginny Weasley
    el 22/6/18

    Hola de nuevo, sólo quiero decir que he aprobado matemáticas gracias a vosotros!! Muchas gracias de verdad, seguid ayudando así a los alumnos como nosotros. ♥

    replythumb_up1 voto/sflag
    icon

    Antonio Silvio Palmitano
    el 22/6/18

    Has aprobado por tu propia dedicación y esfuerzo, ante todo.

    Y agradecemos mucho haberte podido ayudar, y que te haya sido útil nuestra colaboración.

    Felicitaciones, Ginny.

    thumb_up1 voto/sflag