1. Sobre un cuerpo de 15 Kg de masa actúa una fuerza de 7N, ¿cuál es la aceleración producida?
Bueno días,
Espero que me podáis ayudar con la siguiente duda:
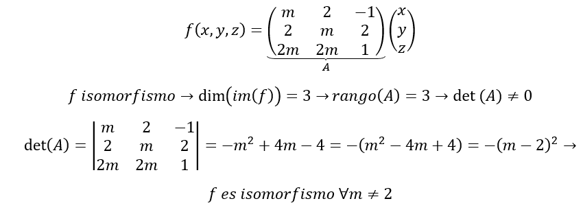
Tengo una aplicación lineal: f(x,y,z)=(mx +2y-z, 2x+my +2z, 2mx +2my +z). Si m fuera 0, se trata de un isomorfismo.
Para que sea isomorfismo, tiene que cumplir que sea monomorfismo e ipomorfismo.
Se que para ello tengo que calcular el núcleo, que me da (0,0,0), por tanto, es monomorfismo. Pero como hago para calcular la imagen y así saber que es ipomorfismo?
Espero vuestras respuestas, gracias!

La forma más rápida de resolver este tipo de ejercicios sería mediante: "El teorema de Pitágoras".
Este nos dice que: La suma de cada cateto elevado al cuadrado es igual a la hipotenusa al cuadrado.
Por esa razón podemos afirmar que: Si a es un cateto, b es el otro y h es la hipotenusa entonces: a2 + b2 = h2
Debes recordad también que en estos ejercicios se puede aplicar este teorema porque los triángulos son rectángulos, es decir, que los dos catetos (dos lados del triángulo) forman 90 grados.
Espero haberte ayudado y ahora que sabes esto ¡intenta aplicarlo en esos ejercicios!
El primero por ejemplo se resolvería así: 42 + 62 = h2
entonces para aislar la hipotenusa debes hacer la raíz cuadrada de lo que hay en el otro lado dadas las propiedades de las potencias.
El resultado, quedaría así: √(42 + 62) por lo que el resultado final es: √52 ≈ 7,21 (aproximadamente).
Ahora ¡a trabajar!
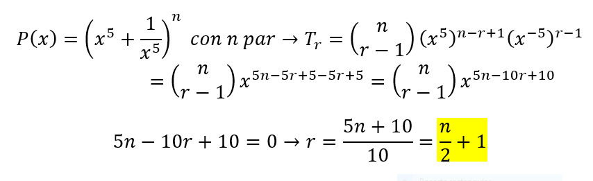
Hola Unicoos, tengo unos problemas de teorema del binomio, no son muy complicados... pero creo que estoy confundido quizás, en algún concepto..... le agradecería su ayuda
Muchas Gracias.