Foro de preguntas y respuestas de Matemáticas

logo beUnicoos
Los foros de unicoos se han unificado en nuestra nueva plataforma beUnicoos. Para dejar nuevas preguntas deberás hacerlo allí, donde además podrás encontrar nuevas asignaturas y herramientas para ayudarte más con tus estudios.

  • icon

    Ismael Juárez García
    el 10/6/18

    ¿Alguien me dice como resolver esto?

    replythumb_up0 voto/sflag
    icon

    César
    el 10/6/18


    thumb_up1 voto/sflag
  • icon

    Nicolás
    el 10/6/18

    Hola Unicoos, tengo un ventanal me piden expresar el área en función de x e y. Yo calcule el área del ventanal=(√3/4)*x^2 + y*x


    Bien ahora me dicen  si x e y deben verificar las siguiente ecuación 

    (√3) * x + y= 9*√3     // raíz cuadrada de 3 por "x" y le sumo "y",eso esta igualado a 9 por raíz cuadrada de 3


    ¿Que medida deberá tener x para maximizar el área del ventanal, afín de que entre la mayor cantidad de luz posible?

    Saludos cordiales.

    replythumb_up0 voto/sflag
    icon

    Antonius Benedictus
    el 10/6/18

    ¿Te importa subir foto del enunciado original?

    thumb_up1 voto/sflag
    icon

    Nicolás
    el 11/6/18

    no lo tengo.

    thumb_up0 voto/sflag
  • icon

    Elena Gómez
    el 10/6/18

    Me ayudan con estos problemas, no sé representarlos.

    Un avión sale de un Aeropuerto con dirección N43^{\circ}E, Después de volar por 2 millas el piloto solicita permiso para girar 90^{\circ} y dirigirse al sureste. Después de viajar 3 millas en esa dirección ¿Qué dirección debe usar la torre de control para localizar el avión? 


    De un puerto sale un barco a las 7:00 pm con una velocidad constante de 50 km/h hacia el oeste. A  las 8:00  pm sale del mismo puerto otro barco con una velocidad constante de 40 km/h y con rumbo N37^{\circ}O. Cuál es la distancia que separa los barcos a las 11:00 pm 

    replythumb_up0 voto/sflag
    icon

    César
    el 10/6/18


    thumb_up1 voto/sflag
  • icon

    Yahir Hezbort
    el 10/6/18

    Hola, me podrían decir como hago para resolver esta progresión: 

    a1 =√5/3

    a7 = ?

    r = √5/6

    Gracias!!

    replythumb_up0 voto/sflag
    icon

    Antonius Benedictus
    el 10/6/18


    thumb_up0 voto/sflag
    icon

    César
    el 10/6/18



    thumb_up0 voto/sflag
  • icon

    Iván
    el 10/6/18

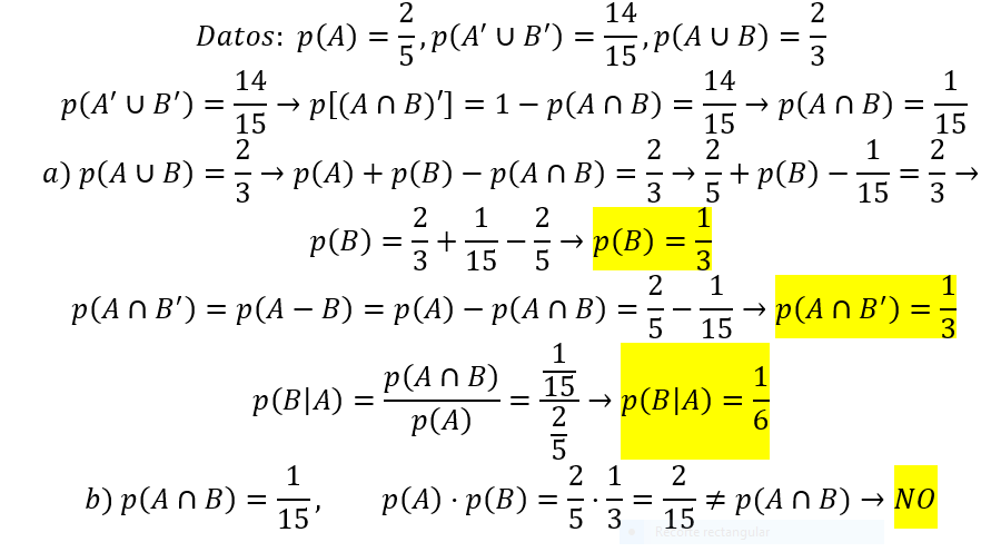
    Sean A y B dos sucesos del mismo espacio muestral:

    p(A)= 2/5 

    p(A(negada) u B(negada))= 14/15

    p(A u B)= 2/3

    Calcula: 

    a) p(B), p(A n B(negada)), p(B/A).

    b) Son A y B independientes?

    replythumb_up0 voto/sflag
    icon

    Antonius Benedictus
    el 10/6/18


    thumb_up0 voto/sflag
    icon

    Iván
    el 10/6/18

    Para sacar la P(A n B), has usado la ley de Morgan?

    thumb_up0 voto/sflag
    icon

    Antonius Benedictus
    el 10/6/18

    Sí, en efecto.

    thumb_up0 voto/sflag
  • icon

    Antonio Omg
    el 10/6/18

    ayuda urgente con esto

    replythumb_up0 voto/sflag
    icon

    César
    el 10/6/18


    thumb_up0 voto/sflag
    icon

    Antonio Omg
    el 10/6/18

    como sacaste los datos

    thumb_up0 voto/sflag
    icon

    Antonio Omg
    el 10/6/18

    la hipotenusa me da 26

    thumb_up0 voto/sflag
  • icon

    DAVID
    el 10/6/18

    Es correcto o primero tendria que resolver el ln 1, que es 0, y ese 0 elevarlo a 0 (ind)

    replythumb_up0 voto/sflag
    icon

    Antonius Benedictus
    el 10/6/18

    Sube foto del enunciado original y te lo explicamos.

    thumb_up0 voto/sflag
    icon

    DAVID
    el 10/6/18

    El enunciado original es ese límite


    thumb_up0 voto/sflag
  • icon

    MARI JOSE
    el 10/6/18

    Hola alguien me puede ayudar con este ejercicio?

    Un estudio sobre el número de fumadores de una zona a partir de una muestra de tamaño 361, señala que la proporción muestra de fumadores es del 35%.

    Con estos datos se pide calcular:

    A) ¿ cual es el intervalo de confianza al 95%?

    B) ¿ cuál debería ser el tamaño de la muestra para que la amplitud del intervalo de confianza al 99% sea del 0,12?


    Muchas gracias

    replythumb_up0 voto/sflag
    icon

    Antonius Benedictus
    el 10/6/18


    thumb_up1 voto/sflag
  • icon

    MARI JOSE
    el 10/6/18

    Hola alguien me puede ayudar con este ejercicio de probabilidad?

    En una urna hay 15 bolas blancas y 5 bolas negras. Si se extrae primero una bola y luego otra, siendo la primera negra,

    ¿cual es la probabilidad de que la segunda sea también negra?


    Muchas gracias

    replythumb_up0 voto/sflag
    icon

    Elena Gómez
    el 10/6/18

    Sería  4/19 = 0,21 la probabilidad

    thumb_up0 voto/sflag
    icon

    César
    el 10/6/18



    thumb_up0 voto/sflag
  • icon

    Javier
    el 9/6/18

    Cómo se puede ver como se hace un ejercicio que he fallado en un exámen ?



    replythumb_up0 voto/sflag
    icon

    Antonius Benedictus
    el 10/6/18

    Sube el ejercicio y te lo explicamos.

    thumb_up0 voto/sflag