Chicos, me han puesto este examen!! Alguno me lo resuelve?? No es tan largo como parece...Muchas gracias! (Las imágenes se ven solo hay que pinchar encima con el ratón)
PROBLEMA 1.
La dirección de una empresa ha llevado a cabo un análisis del salario mensual neto S (datos en cientos de euros) de sus 115 empleados en relación con un determinado indicador de productividad P, habiendo resultado la siguiente tabla de frecuencias conjunta:
Se sabe además que la varianza del salario mensual neto es 31.56 cientos de euros al cuadrado y que la varianza del indicador de productividad es de 2.71. A partir de estos datos se desea conocer:
1. El salario más frecuente. El valor del indicador de productividad que como mínimo tienen el cincuenta por ciento de los trabajadores más productivos.
2. La media salarial para los trabajadores con un indicador de productividad entre 8 y 12. 3. El grado y tipo de relación lineal existente entre las variables. ¿Cuál sería la bondad del ajuste de la recta ajustada?
En otra empresa del mismo consorcio se sabe que, una vez ajustada la recta de los salarios en función de la productividad para una productividad nula, el salario mensual según la recta es de -5,2 y cuando el indicador de productividad aumenta en una unidad, el salario aumenta en 321 euros. Se sabe además que la varianza del salario explicada por la recta es 34.07 cientos de euros al cuadrado, y la no explicada es 1.83.
Trabajando en las mismas unidades que las de la tabla, ¿cuál es entonces la recta de regresión?
Cuantifique la bondad de ajuste y compare el grado de relación lineal existente con el calculado en el apartado 4.
PROBLEMA 2.
Una empresa de jardinería produce tres tipos de plantas ornamentales a las que llamaremos planta A (Aloe Vera), B (Bambúes) y C (Cycas). La tabla siguiente recoge las unidades producidas de cada tipo de planta para los años 2009 y 2011 y del precio de venta en 2009 (en €).
Además, en el periodo 2009-2011 el precio de la planta C creció un 25% y el precio de la planta B sufrió un incremento anual medio acumulado de un 9%. Sabemos también que el índice simple de precios de la planta tipo A de 2011 respecto a 2009 (medido en tantos por uno) es 1,20.
Se pide:
¿Qué variación porcentual ha tenido el valor total de la producción en términos reales
y en términos corrientes para el periodo 2009-2011?
Basado en una formulación de Laspeyres, diga cuál ha sido la variación de los precios de
las plantas para el periodo 2011 con base el año 2009.
¿Qué tipo de planta ha tenido una mayor contribución en la variación absoluta del índice
obtenido en el apartado anterior?
PROBLEMA 3.
Se han publicado las listas con las calificaciones de los innumerables opositores al Cuerpo de Auxiliares Administrativos del Ministerio A. Están dispuestos en dos listas: en la lista A (aprobados) aparece el 1% de los opositores y en la lista B figura el resto de opositores, todos ellos suspensos.
Supuesto que todos los opositores acudan a ver las listas y elegidos al azar dos opositores:
¿Cuál es la probabilidad de que al menos uno de ellos esté suspendido?
¿Cuál es la probabilidad de que cada uno de ellos esté en una lista distinta?
Tras la toma de posesión, los funcionarios de nuevo ingreso representan el 5% del total de los funcionarios. El 80% de ellos son destinados a Delegaciones Provinciales mientras que el resto irá destinado a Servicios Centrales. Se sabe además que el 30% de los funcionarios están en Delegaciones y no son de nuevo ingreso. Hallar:
Probabilidad de que un funcionario sea de nuevo ingreso y no esté destinado en una Delegación.
Probabilidad de que un funcionario esté destinado en una Delegación.
Probabilidad de que un funcionario de Delegación no sea de nuevo ingreso.
Probabilidad de que un funcionario de Servicios Centrales sea de nuevo ingreso.

¡Hola! Nos encantaría ayudarte, pero no solemos responder dudas universitarias que no tengan que ver específicamente con los vídeos que David Calle ha grabado como excepción. O de otras asignaturas que no sean Matemáticas, Física y Química. Lo sentimos de corazón… Esperamos que lo entiendas.
Ojalá algún unicoo universitario se anime a ayudarte (de hecho, lo ideal es que todos los universitarios intentarais ayudaros los unos a los otros).
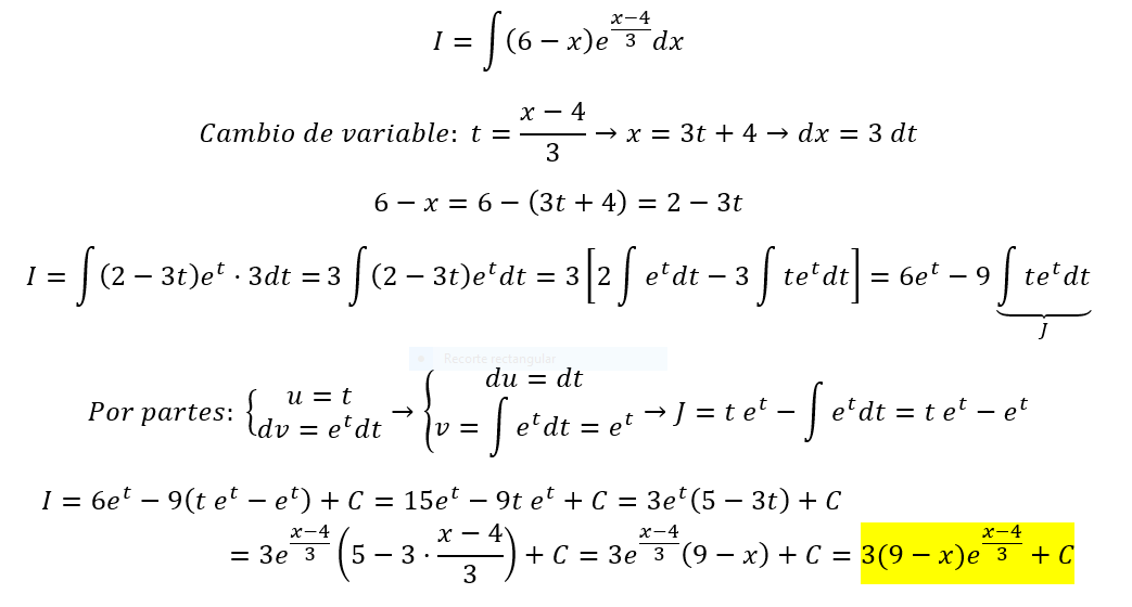
Hola, ¿Me podrían ayudar? justo esa clase no fui y no entiendo.
Hallar, utilizando la definición, la pendiente de la recta tangente a la curva y=f(x) en el punto P. Dar la ecuación de la recta y graficar la curva y la recta.
f(x)=x^2-2
P=(3, 7)
1º actividad : ¿Cuál puede ser el número de lados de un polígono si el número de sus diagonales es un número primo?
2º actividad : Un número n de cuatro cifras, todas ellas menores que 9, es un cuadrado perfecto. Si a cada cifra se le suma 1, el número resultante es también cuadrado perfecto. Halla n.
AYUDA PORFAVOR EN ESTAS DOS ACTIVIDADES
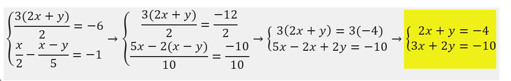
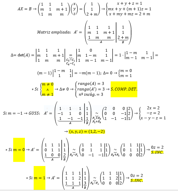
Si me podéis ayudar hasta quitar las fracciones y dejarlas en un sistema normal y corriente, gracias
Hola buenas tardes me podrian ayudar con el ejercicio 34 es que no se lo que es un punto de inflexion. Gracias

Un punto de inflexión de una curva es un punto en el que cambia la curvatura de ésta. Es decir, la curva pasa de cóncava a convexa (o viceversa). Si la curva admite derivada segunda, entonces en un punto de inflexión la derivada vale 0, y en dicho punto ha de cambiar de signo.
Tienes que aplicar, pues, f''(0)=0 y f(0)=2