Foro de preguntas y respuestas de Matemáticas

logo beUnicoos
Los foros de unicoos se han unificado en nuestra nueva plataforma beUnicoos. Para dejar nuevas preguntas deberás hacerlo allí, donde además podrás encontrar nuevas asignaturas y herramientas para ayudarte más con tus estudios.

  • icon

    Alejandro Sanchezcarrion
    el 4/6/18

    También tengo dudas con este :

    En una empresa, la directora de recursos humanos busca una persona responsable de tienda. De las personas que se presentan para el puesto , el 21 % son mujeres. La tercera parte de los hombres y una de cada cinco mujeres cumplen los requisitos. El total de no cualificados para el puesto es de 1042 personas.

    a) ¿Cuántas personas se presentan?

    b) ¿Cuántas mujeres hay cualificadas para el puesto ?

    replythumb_up0 voto/sflag
    icon

    Antonius Benedictus
    el 4/6/18


    thumb_up1 voto/sflag
  • icon

    Alejandro Sanchezcarrion
    el 4/6/18

    Hola tengo una duda sobre como proceder a realizar el siguiente problema:


    Una fabrica de coches artesanales destina el 16%  de los vehículos producidos al mercado nacional y el resto a la exportación. Uno de cada cuatro coches vendidos en el mercado nacional y dos de cada tres exportados llevan motor de gasoleo y el resto de gasolina. Si un determinado año los coches fabricados con motor de gasolina fueron 78 , ¿ cuántos coches se fabricaron ese año en total ?

    replythumb_up0 voto/sflag
    icon

    Antonius Benedictus
    el 4/6/18


    thumb_up1 voto/sflag
  • Usuario eliminado
    el 4/6/18

    Me pueden aillar esto

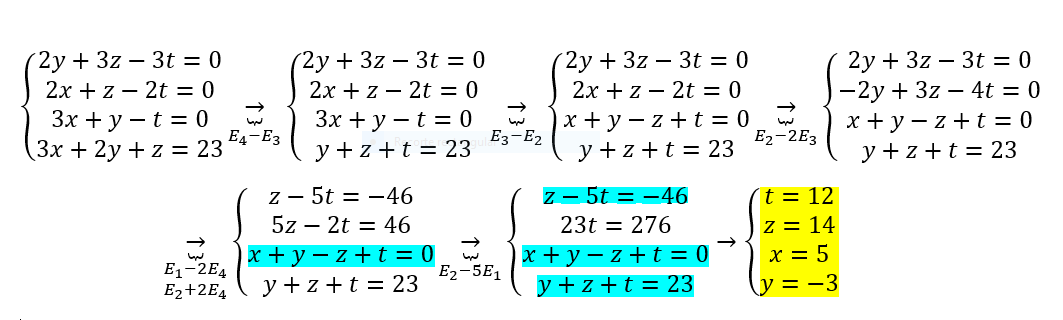
    2y+3z-3t = 0

    2x + z -2t= 0

    3x + y -t = 0

    3x+ 2y + z=23


    replythumb_up0 voto/sflag
    icon

    Antonius Benedictus
    el 4/6/18

    Pon foto del sistema original, por favor.

    thumb_up0 voto/sflag

    Usuario eliminado
    el 4/6/18


    thumb_up0 voto/sflag
    icon

    Antonius Benedictus
    el 4/6/18


    thumb_up0 voto/sflag
    icon

    Antonio Silvio Palmitano
    el 5/6/18

    Despejas y en al tercera ecuación, y queda:

    y = t - 3x (1);

    luego, sustituyes la expresión señalada (1) en las demás ecuaciones (en realidad solo en la primera y en la última), distribuyes agrupamientos, reduces términos semejantes, y queda:

    -6x -t + 3z = 0, aquí sumas t en ambos miembros, y queda: -6x + 3z = t (2),

    2x + z - 2t = 0,

    -3x + z + 2t = 23;

    luego, sustituyes la expresión señalada (2) en las dos últimas ecuaciones, distribuyes agrupamientos, reduces términos semejantes, y queda

    14x - 5z = 0, aquí restas 14x, y luego divides por -5, en ambos miembros, y queda: z = 14x/5 (3),

    -15x + 7z = 23;

    luego, sustituyes la expresión señalada (3) en la última ecuación, y queda:

    -15x + 98x/5 = 23, aquí multiplicas en todos los términos por 5, y queda:

    -75x + 98x = 115, reduces términos semejantes, y queda:

    23x = 115, divides por 23 en ambos miembros, y queda: x = 5;

    luego, reemplazas el valor remarcado en la ecuación señalada (3), y queda: z = 14;

    luego, reemplazas los valores remarcados en la ecuación señalada (2), y queda: 12 = t;

    luego, reemplazas los valores remarcados que correspondan en la ecuación señalada (1), y queda: y = -3.

    Luego, puedes concluir que el sistema es compatible determinado, y su solución única es:

    x = 5, y = -3, z = 14, t = 12.

    Espero haberte ayudado.

    thumb_up0 voto/sflag
  • icon

    Paco Acosta
    el 4/6/18

    Me podeis ayudar a realizar este?

    replythumb_up0 voto/sflag
    icon

    Antonius Benedictus
    el 4/6/18


    thumb_up0 voto/sflag
  • icon

    Francisco
    el 4/6/18

    Alguien que me pueda ayudar a resolverlo?

    replythumb_up0 voto/sflag
    icon

    Antonius Benedictus
    el 4/6/18

    Para los vectores (a_1,a_2)  y  (b_1,b_2):


    thumb_up0 voto/sflag
    icon

    Antonius Benedictus
    el 4/6/18

  • icon

    pvdk
    el 4/6/18

    Hola me pueden ayúdar a resolver estos ejercicios..?

    replythumb_up0 voto/sflag
    icon

    César
    el 4/6/18

    thumb_up0 voto/sflag