
¡Hola! Nos encantaría ayudarte, pero no solemos responder dudas universitarias que no tengan que ver específicamente con los vídeos que David Calle ha grabado como excepción. O de otras asignaturas que no sean Matemáticas, Física y Química. Lo sentimos de corazón… Esperamos que lo entiendas.
Ojalá algún unicoo universitario se anime a ayudarte (de hecho, lo ideal es que todos los universitarios intentarais ayudaros los unos a los otros).
¿Alguien me puede ayudar con este ejercicio 7, de probabilidad? No llego a entender muy bien los contrastes de hipótesis.

¡Hola! Nos encantaría ayudarte, pero no solemos responder dudas universitarias que no tengan que ver específicamente con los vídeos que David Calle ha grabado como excepción. O de otras asignaturas que no sean Matemáticas, Física y Química. Lo sentimos de corazón… Esperamos que lo entiendas.
Ojalá algún unicoo universitario se anime a ayudarte (de hecho, lo ideal es que todos los universitarios intentarais ayudaros los unos a los otros).
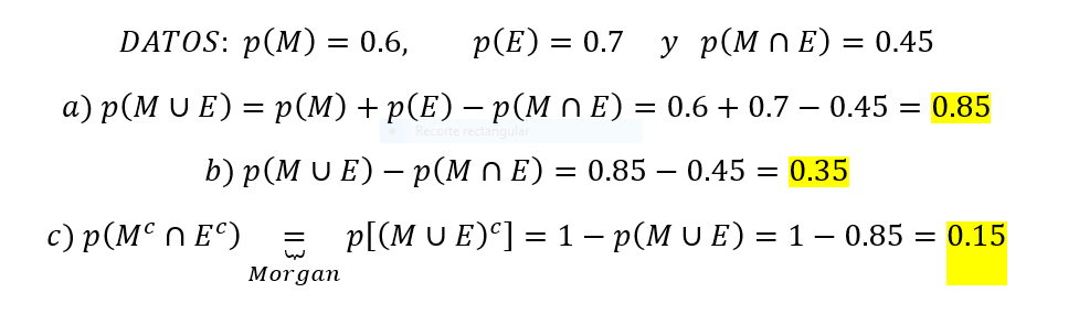
Los resultados académicos de un grupo de Bachillerato muestran que la probabilidad de aprobar Matemáticas es 0,6 y la de aprobar Economía 0,7. Además, la probabilidad de aprobar las dos asignaturas es 0,45. Si en ese grupo se elige un alumno al azar, calcule la probabilidad de que:
a) Apruebe alguna de las dos asignaturas.
b) Apruebe sólamente una de las dos asignaturas.
c) No apruebe ninguna de las dos asignaturas.
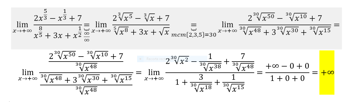
Buenas, me pueden ayudar con el siguiente limite por favor, me confunde mucho los exponentes, porque me pierden que debo de eliminar realmente, si pueden ayudarme, por favor ayudenme, este ejercicio me tiene estancado en un camino sin salida :(

No comprendo como representarlo... solo ocupo el dibujo por favor
Luis, el navegante de un barco en el mar, observa dos faros A y B que están a 2 kilómetros uno del otro sobre la costa. Si él determina que los ángulos formados entre la línea del barco directamente a la costa y cada línea de visión a los faros A y B son de 12° y 30°, entonces la distancia del barco a la costa corresponde a
Me ayudáis con la discusión de un sistema? Este la verdad es uno de los más complejos que he visto así buscando un poco:
Yo tengo algo así:
Si a=1 > rango A = rango A* SI
Si a=2 > rango A = rango A* SI
Si a=3 > rango A = rango A* < nº incog. SCI
Si a=1 y a=2 y a=3 > rango A = rango A* = nºincog. SCD
Ahora hice para a=3, sustituyendo z por λ >>> z= λ; x=1+ λ; y=-1- λ
Luego para resolver el SCD hice a=0 y resolví el sistema, quedándome: x=3; y=6; z=2.
De verdad que necesito saber como se haría ese ejercicio o si lo que yo hice está bien. Gracias desde ya.