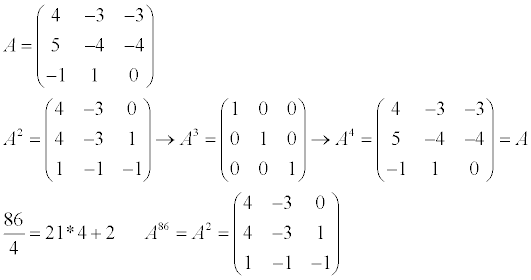
Me podríais hacer por favor A^86 cuando A=(4 -3 -3) (5 -4 -4) (-1 1 0) Gracias.

Vamos con una orientación.
Resuelves: A2 = A*A (te dejo la tarea), y queda:
4 -3 0
4 -3 1
1 -1 -1.
Luego, resuelves: A3 = A2*A (te dejo la tarea), y queda:
1 0 0
0 1 0
0 0 1.
Por lo tanto tienes que el cubo de la matriz A es igual a la matriz identidad: A3 = I (1).
Luego, tienes que calcular:
A86 = A3*28+2 = A3*28*A2 = (A3)28*A2;
luego, sustituyes la expresión señalada I en la base de la potencia del primer factor, y queda:
A86 = I28*A2;
luego, resuelves el primer factor, y queda:
A86 = I*A2;
luego, resuelves el producto, y queda:
A86 = I*A2 = A2 =
4 -3 0
4 -3 1
1 -1 -1.
Espero haberte ayudado.
Me podrian hacer el favor de realizar la derivada de este ejercicio de tal forma que llegue a la solucion: -2cosx(1+2senx), el ejercicio es
cos(2x)-2senx
Hola,alguien podría ayudarme a resolver este ejercicio? Me pide hallar la función cuadrática f. Me da estos datos: El gráfico f tiene vértice V:(4,5) y pasa por el punto (3,3). Pensé en comenzar con la forma canónica ya que me da el vértice como dato. Me quedé acá, no sé cómo seguir o si está bien pensado: f(x)=a(x-4)^2-5

¡Hola! Nos encantaría ayudarte, pero no solemos responder dudas universitarias que no tengan que ver específicamente con los vídeos que David Calle ha grabado como excepción. O de otras asignaturas que no sean Matemáticas, Física y Química. Lo sentimos de corazón… Esperamos que lo entiendas.
Ojalá algún unicoo universitario se anime a ayudarte (de hecho, lo ideal es que todos los universitarios intentarais ayudaros los unos a los otros).
Hola, me preguntan: ¿La relación que hay entre el término independente c de una función cuadrática y el punto de corte con el eje Y?
Observo que cuando la función es f(x)=ax2+c la c corresponde al punto Y del vértice. Pero cuando la función es de la forma f(x)=ax2+bx+c....la c se mueve ......NO sé qué responder....Si me podéis ajudar, Gracias.