
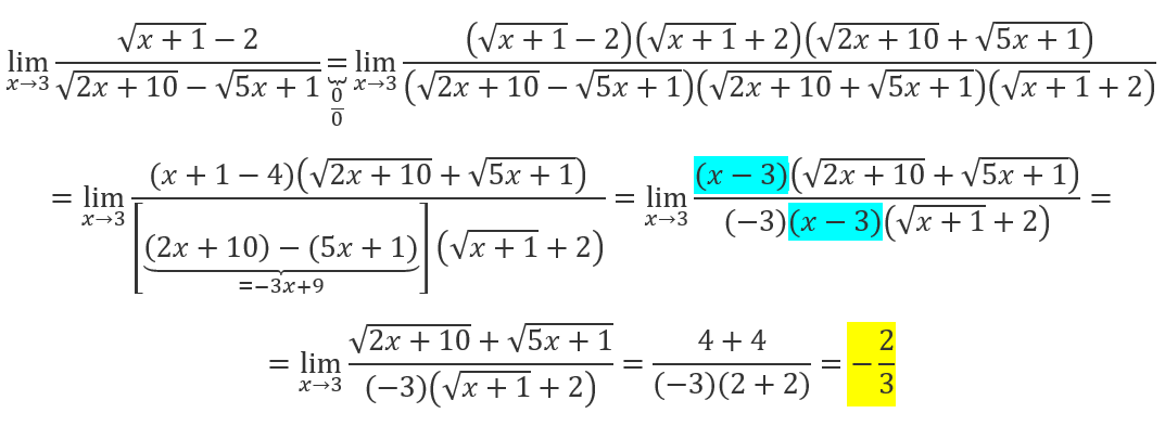
Comienza por multiplicar al numerador y al denominador por la expresión "conjugada" del denominador, distribuyes en el denominador (te dejo la tarea, y observa que tienes cancelaciones y simplificaciones), y queda:
L = Lím(x→3) ( √(x+1) - 2 )*( √(2x+10) + √(5x+1) ) / ( 2x+10 - (5x+1) ),
resuelves el denominador (observa que extraemos factor común), y queda:
L = Lím(x→3) ( √(x+1) - 2 )*( √(2x+10) + √(5x+1) ) / ( -3*(x -3) );
luego multiplicas al numerador y al denominador por la expresión "conjugada" del primer factor del numerador, y queda:
L = Lím(x→3) ( √(x+1) + 2 )*( √(x+1) - 2 )*( √(2x+10) + √(5x+1) ) / ( √(x+1) + 2 )*( -3*(x -3) );
luego, distribuyes los dos primeros factores del numerador (observa que tienes cancelaciones y simplificaciones), y queda:
L = Lím(x→3) ( (x+1) - 4 )*( √(2x+10) + √(5x+1) ) / ( √(x+1) + 2 )*( -3*(x -3) );
luego, resuelves el primer factor del numerador, y queda:
L = Lím(x→3) (x-3)*( √(2x+10) + √(5x+1) ) / ( √(x+1) + 2 )*( -3*(x -3) );
luego, simplificas los factores remarcados en el numerador y en el denominador, y queda:
L = Lím(x→3) ( √(2x+10) + √(5x+1) ) / ( √(x+1) + 2 )*( -3);
luego, resuelves, y queda:
L = ( 4 + 4) / ( 2 + 2)*(-3) = 8/(-12) = -2/3.
Espero haberte ayudado.
Hola, a ver si me podeis ayudar con este problema, me esta siendo imposible
https://i.gyazo.com/5819f8c3cabf78461c413291c9f86f25.png
gracias
Alguien me puede desarrollar este límite?
No consigo que me de como resultado 1. Porque pienso que la x de abajo es más grande que la de arriba, por lo que yo pondría que da como resultado 0.

Ese es el que yo quería. Gracias!! Esque yo había pensado que en el denominador la x estaba elevada a 1/2 y la otra x estaba elevada a 1/4 entonces pensaba que la x de la derecha del denominador ganaba a la de la izquierda. entonces trato a las x en igualdad de condiciones y es como si la x de la derecha del denominador fuese mas pequeña no?
hola buenas a ver si alguien puede ayudarme....
Obtén intervalos de crecimiento, máximos y mínimos relativos (con sus dos coordenadas) y la ecuación a la recta tangente a la gráfica de la función siguiente en el punto de abscisa x= 4
y=x3 +6x2 +9x+5
Muchas gracias de antemano.