
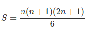
Aquí tienes el cálculo de la suma de los cuadrados de los n primeros naturales. Luego, el límite es habitual.
http://lasmatematicas.eu/2017/09/22/suma-de-los-cuadrados-de-los-n-primeros-numeros-naturales/

Como podría desarrollar el siguiente problema: una célula se duplica al cabo de 5 minutos, volviéndose a duplicar cada una de las células resultantes cada 5 minutos y así indefinidamente. ¿cuánto tiempo se tardará en obtener 2048 células?
solución: 55 minutos
formulas que dimos en clase son: An= A1.r^n-1
r= raiz (m-n)(am/an)