
Tienes la ecuación cartesiana simétrica (o continua) de la recta L1, multiplicas por -1 al numerador y al denominador de su segundo miembro, y queda:
(x - 4)/2 = (y - 2)/6,
por lo que tienes que un vector director es: u1 = <2,6>, que el punto: A(4,2) pertenece a esta recta.
Tienes las ecuaciones cartesianas paramétricas de la recta L2, en la que tienes que un vector director es:
u2 = <1,3>, y que el punto: B(2,-4) pertenece a esta recta.
a)
Observa que el vector u1 es el doble del vector u2, por lo que tienes que los vectores directores son paralelos, y, luego, reemplazas las coordenadas del punto B en la ecuación de la recta L1, y queda:
(2-4)/2 = (-4-2)/6, resuelves en ambos miembros, y queda:
-1 = -1, que es una identidad verdadera, por lo que tienes que el punto B pertenece a las dos rectas, y como sus vectores directores son paralelos, puedes concluir que las rectas son coincidentes.
b)
Como las rectas son coincidentes, tienes que el ángulo entre ellas es igual a cero.
Espero haberte ayudado.
Propiedades determinantes.- Muy buenas, tengo una duda con este determinante en el primer paso. Está resuelto, pero no entiendo el por qué, sólo el primer paso (porque parte de un determinante de orden mayor), las demás propiedades las tengo claras gracias a los buenos ejemplos de los videos de David. ¡Gracias de antemano!

Regla de Chiò:
Si en un determinante toda una fila (o una columna) está llena de "ceros", salvo un elemento, el valor de dicho determinante es el producto de dicho elemento no-nulo por su correspondiente adjunto.
En tu caso, el 5 ocupa el lugar fila4, columna1 por lo que el adjunto lleva delante el signo (-1)^(4+1)=(-1)^5 =-1
det(A) = det (AT)
Tomando la transposición de la matriz 4×4 y verás que la primera fila tiene sólo un 5, creo que debería ser bastante fácil de entender el cálculo entonces (-5 veces el menor de la matriz original).
Ellos expanden el determinante de orden 4 por la primera columna, eso es todo. Las reglas para los signos son las mismas que para una ampliación por una fila.
Saludos.

Igualas cada miembro de las ecuaciones cartesianas continuas (o simétricas) de la recta r a un parámetro u, despejas x, y, z, y quedan las ecuaciones cartesianas paramétricas:
x = -3u + 2 (1),
y = 2u - 4 (2),
z = -u + 5 (3),
con u ∈ R.
Igualas cada miembro de las ecuaciones cartesianas continuas (o simétricas) de la recta s a un parámetro t, despejas x, y, z, y quedan las ecuaciones cartesianas paramétricas:
x = 2t + 1 (4),
y = 4t + 2 (5),
z = t + 5 (6),
con t ∈ R.
Luego, sustituyes las expresiones señaladas (1) (2) (3) en las ecuaciones señaladas (4) (5) (6), y queda el sistema de tres ecuaciones con tres incógnitas:
-3u + 2 = 2t + 1 (7),
2u - 4 = 4t + 2 (8),
-u + 5 = t + 5, aquí restas 5 en ambos miembros, y queda: -u = t (9).
Luego, sustituyes la expresión señalada (9) en las ecuaciones señaladas (7) (8), y queda:
-3u + 2 = -2u + 1, aquí sumas 3u y restas 1 en ambos miembros, y qeuda: 1 = u,
2u - 4 = -4u + 2, aquí reemplazas el valor remarcado, y queda: -2 = -2, que es una identidad verdadera.
Luego, reemplazas el valor remarcado en la ecuación señalada (9), y queda: -1 = t.
Luego, reemplazas los valores remarcados en las ecuaciones de las rectas, y para ambas queda:
x = -1, y = -2, z = 4, por lo que tiene que el punto de intersección entre las rectas es: A(-1,-2,4).
Luego, puedes proponer que un vector director para la recta perpendicular a la recta r y a la recta s es el producto vectorial entre sus vectores directores (cuyas componentes tienes en los denominadores de los miembros de las ecuaciones simétricas de las rectas), y queda:
u = <-3,2,-1> x <2,4,1> = <6,1,-16>;
luego, con las componentes del vector director y las coordenadas del punto A, puedes plantear las ecuaciones cartesianas simétricas (o continuas) de la recta perpendicular a las rectas r y s que pasa por su punto de intersección:
(x + 1)/6 = (y + 2)/1 = (z - 4)/(-16).
Luego, tienes el punto P(0,-1,0) que pertenece al plano, y como dicho plano es perpendicular a la recta r, puedes proponer que su vector normal es el vector director de la recta r, por lo que tienes que su expresión es: n = <-3,2,-1>;
luego, con las componentes del vector normal n y las coordenadas del punto P, puedes plantear la ecuación cartesiana del plano:
-3*(x - 0) + 2*( y - (-1) ) - 1*(z - 0) = 0, distribuyes, cancelas términos nulos, y queda:
-3x + 2y - z + 2 = 0, que es la ecuación cartesiana implícita del plano.
Espero haberte ayudado.
Hola Unicoos! por favor me podrian ayudar con unas demostraciones?. Muchas gracias!!
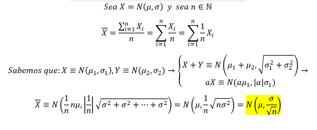
Demostrar que x barra sigue una distribución normal siempre que la población siga una distribución normal
Hola, me pueden ayudar con el siguiente ejercicio por favor. Gracias.
26. Sea V un K-espacio vectorial, {s, u, v, w} una familia l.i. de V . Sea α un escalar
cualquiera y consideremos la familia de vectores {x, y, z, t} definida por x = s−u, y =
u − v, z = v − w, t = αw − s.
a) Estudie para que valores de α la familia es {x, y, z, t} l.i.
b) Demuestre que si la familia {x, y, z, t} es l.i., entonces engendra el mismo subespacio
que la familia {s,u,v,w}.
Hola Unicoos, ayuda con este problema, por favor:
¿De cuántas maneras diferentes pueden distribuirse libremente 10 cajas en 6 pisos de un edificio?
Gracias.

Puedes asignar a cad caja un número natural, mínimo 1 y máximo 6, a fin de asignarle el piso al que será destinada, y con repetición ya que varias cajas pueden ser ubicadas en un mismo piso.
Luego, tienes seis posibilidades para asignar un número a la primera caja, y por cada una de ellas tienes seis para la segunda, y así sucesivamente hasta asignar un número a la décima caja, por lo que tienes en total:
N = 6^10 maneras posibles.
Espero haberte ayudado.