
Vamos con una orientación.
Observa que el dominio de la función es: D = { (x,y) ∈ R2 : y ≥ -x },
cuya representación gráfica es un semiplano, cuya frontera es la recta cuya ecuación es: y = -x (observa que es la región del plano OXY que se encuetra "por debajo" de la frontera, incluyéndola.
Luego, planteas las expresiones de las derivadas parciales, y queda:
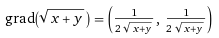
fx(x,y) = 1 / 2√(x+y),
fy(x,y) = 1 / 2√(x+y),
y observa que las dos funciones son continuas en todo punto del dominio, con excepción de su frontera, por lo que tienes que la función es diferenciable en todos los puntos del dominio que no pertenecen a su frontera.
Luego, considera un punto genérico perteneciente a la frontera: A(a,a), y si plantea par él la derivada parcial con respecto a x (observa que debes hacerlo por medio de la definición), tienes que dicha derivada no está definida ya que existe solamente la derivada parcial con respecto a x por la derecha, y como la existencia de las dos derivadas parciales es condición necesaria para que la función sea diferenciable, ya puedes concluir que la función no es diferenciable en todos los puntos de la frontera.
Por lo tanto, tienes que la función es diferenciable en el subconjunto del dominio:
Dd = { (x,y) ∈ R2 : y < -x }.
Espero haberte ayudado.