Por favor, alguien me podría ayudar con este problema que mañana tengo el examen?
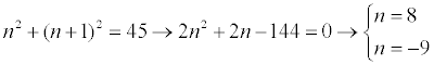
Los cuadrados de dos números consecutivos suman 145 ¿Cuáles son estos números?
Me pueden ayudar con este problema por favor
Ordaz está comiendose unos tacos que encontró en el refrigerador de su casa. Si los hubiera repartido en varios platos con tres tacos cada uno, le habria sobrado dos tacos. Si hubiera servido cinco tacos por plato le hubieran sobrado cuatro.¿Cuantos tacos tenia en su refrigerador.

Puedes llamar T a la cantidad total de tacos.
En la primera situación:
puedes llamar x a la cantidad de platos, y observa que la cantidad de tacos servidos es: 3*x,
y luego puedes plantear:
3*x + 2 = T (1),
y observa que tienes que la cantidad de tacos excede en dos unidades a un múltiplo de tres.
En la segunda situación:
puedes llamar y a la cantidad de platos, y observa que la cantidad de tacos servidos es: 5*y,
y luego puedes plantear:
5*y + 4 = T (2),
y observa que tienes que la cantidad de tacos excede en cuatro unidades a un múltiplo de cinco.
Luego, calculas algunos valores de la expresión señalada (1), para x = 1, 2, 3, 4, 5, etcétera, y queda la sucesión:
T = 2, 5, 8, 11, 14, 17, 20, 23, 26, 29, 32, 35, 38, 41, 44, 47, etcétera.
Luego, calculas algunos valores de la expresión señalada (2), para x = 1, 2, 3, 4, 5, etcétera, y queda la sucesión:
T = 4, 9, 14, 19, 24, 29, 34, 39, 44, 49, 54, 59, etcétera.
Luego, observa que el problema tiene diferentes soluciones posibles:
a)
T = 14,
reemplazas en las ecuación señalada (1), despejas, y queda: x = 4,
reemplazas en la ecuación señalada (2), despejas, y queda: y = 2,
por lo que tienes que en la primera situación repartiste los tacos en cuatro platos,
y en la segunda, en dos.
b)
T = 29,
reemplazas en las ecuación señalada (1), despejas, y queda: x = 9,
reemplazas en la ecuación señalada (2), despejas, y queda: y = 5,
por lo que tienes que en la primera situación repartiste los tacos en nueve platos,
y en la segunda, en cinco.
c)
T = 44,
reemplazas en las ecuación señalada (1), despejas, y queda: x = 14,
reemplazas en la ecuación señalada (2), despejas, y queda: y = 8,
por lo que tienes que en la primera situación repartiste los tacos en catorce platos,
y en la segunda, en ocho.
Y así puedes extender y tendrás más soluciones.
Espero haberte ayudado.
Buenos días.
Tengo que realizar este ejercicio de probabilidad y no se que me falta por hacer o hallar o realmente como interpretarlo. Me lio un poco, si pudieseis ayudarme.
Es el ejercicio 1.
Hola. Podrían ayudarme con este ejercicio? No se si se hace con una derivada o soy yo que no tengo ni idea 😅 Es el N3. Muchas Gracias. ![]()

Observa que el dominio de la función es: D = [0,10].
Luego, tienes la expresión de la función:
P(t) = -t2 + 8t + 100, extraes factor común -1 entre los dos primeros términos, y queda:
P(t) = -1*(t2 - 8t) + 100, sumas y restas 16 en el agrupamiento, y queda:
P(t) = -1*(t2 - 8t + 16 - 16) + 100, factorizas el trinomio cuadrado perfecto, y queda:
P(t) = -1*( (t - 4)2 - 16 ) + 100, distribuyes el primer término, y queda:
P(t) = -1*(t - 4)2 + 16 + 100, reduces términos numéricos, y queda:
P(t) = -1*(t - 4)2 + 116 (1),
que es la forma canónica de la función, cuya gráfica tiene la ecuación cartesiana:
y = -1*(t - 4)2 + 116,
que corresponde a una parábola con vértice (4,116),con eje de simetría cuya ecuación es: t = 4, y cuyas ramas se abren hacia "abajo" en un gráfico cartesiano.
Luego, puedes responder preguntas empleando la expresión de la función señalada (1).
a)
P(0) = -1*(0 - 4)2 + 116 = -1*16 + 116 = -16 + 116 = 110 pulsaciones.
b)
P(t) = 112, sustituyes la expresión señalada (1), y queda:
-1*(t - 4)2 + 116 = 112, restas 116 en ambos miembros, y queda:
-1*(t - 4)2 = - 4, divides por -1 en ambos miembros, y queda:
(t - 4)2 = 4, extraes raíz cuadrada en ambos miembros, y tienes dos opciones:
1)
t - 4 = -2, sumas 4 en ambos miembros, y queda: t = 2 minutos;
b)
t - 4 = 2, sumas 4 en ambos miembros, y queda: t = 6 minutos.
c)
P(10) = -1*(10 - 4)2 + 116 = -1*62 + 116 = -26 + 116 = 80 pulsaciones.
d)
A partir de la gráfica de la función, tienes que las coordenadas del vértice de la parábola, V(4,116) (observa que es el punto más "alto" de la gráfica), indican que en el instante: t = 4 minutos tienes que la cantidad de pulsaciones quedan expresadas: P(4) = 116.
Espero haberte ayudado.