Foro de preguntas y respuestas de Matemáticas

logo beUnicoos
Los foros de unicoos se han unificado en nuestra nueva plataforma beUnicoos. Para dejar nuevas preguntas deberás hacerlo allí, donde además podrás encontrar nuevas asignaturas y herramientas para ayudarte más con tus estudios.

  • icon

    diego
    el 6/5/18

    no lo entiendo, me pueden ayudar por favor

     


    replythumb_up0 voto/sflag
    icon

    Gabriel
    el 6/5/18

    ¿tienes el enunciado original?

    thumb_up0 voto/sflag
    icon

    Gabriel
    el 6/5/18


    thumb_up0 voto/sflag
  • icon

    Alfredo Pérez
    el 6/5/18

    Hola, necesito ayuda con el siguiente ejercicio por favor. Muchísimas gracias

    El campo escalar f(x, y) = y²(x−1)²+x²(y+4)², ¿Qué tipo de punto critico es P(0, 0)?

    replythumb_up0 voto/sflag
    icon

    Antonius Benedictus
    el 6/5/18

    Si consideras que f(x,y) >=0 para cualquier (x,y), entonces, como f(0,0)=0,  es un mínimo.

    thumb_up0 voto/sflag
  • icon

    Aroa Grande Fernández
    el 5/5/18

    Hola! Tengo un problema de probabilidad que no consigo entender:

    Tres bolsa idénticas contienen bolas de cristal: la primera, 6 lisas y 4 rugosas; la segunda, 5 lisas y 2 rugosas; y la tercera 4 lisas y 7 rugosas.
    Determina:
    1. La probabilidad de que al extraer una bola al azar de una bolsa al azar sea rugosa. (0,44)
    2. Se ha hecho una extración de una bola al azar y ha resultado ser lisa. ¿Cuál es la probabilidad de que haya sido de la primera bolsa?. (0,36)
    3. En la extracción anterior se nos ha caido la bola al suelo y se ha roto.¿Cuáles son las probabilidades de que en una nueva extracción al azar salga rugosa?. (0,49)

    Necesito ayuda, si puede ser, antes del martes. Gracias!

    replythumb_up0 voto/sflag
    icon

    César
    el 6/5/18

    https://yoquieroaprobar.es/_pdf/54157.pdf


    thumb_up0 voto/sflag
    icon

    Gabriel
    el 6/5/18

    Viendo los resutlados que deberían dar, el tercer ejercicio entendí la probabilidad de que sea rugosa de la primera bolsa, pero creo que se refiere en general. Por lo tanto, la solución del tercer ejercicio sería P(R)=0,46


    thumb_up0 voto/sflag
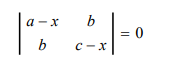
  • icon

    Albano Caminos
    el 5/5/18

    Buenas tardes, quisiera saber si me pueden explicar cómo realizar el ejercicio 1) muchas gracias!

    replythumb_up0 voto/sflag
    icon

    Antonius Benedictus
    el 6/5/18


    thumb_up0 voto/sflag
    icon

    Albano Caminos
    el 6/5/18

    Muchas gracias por su respuesta, me podría decir cómo llego en el punto c a -3<=x<0. Muchas gracias!

    thumb_up0 voto/sflag
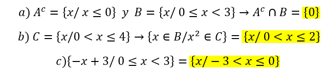
  • icon

    Jorge
    el 5/5/18

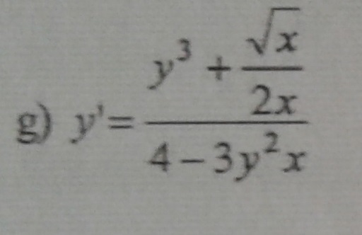
    Hola, cómo sería el apartado d de este ejercicio 

    replythumb_up0 voto/sflag
    icon

    Guillem De La Calle Vicente
    el 5/5/18


    thumb_up0 voto/sflag
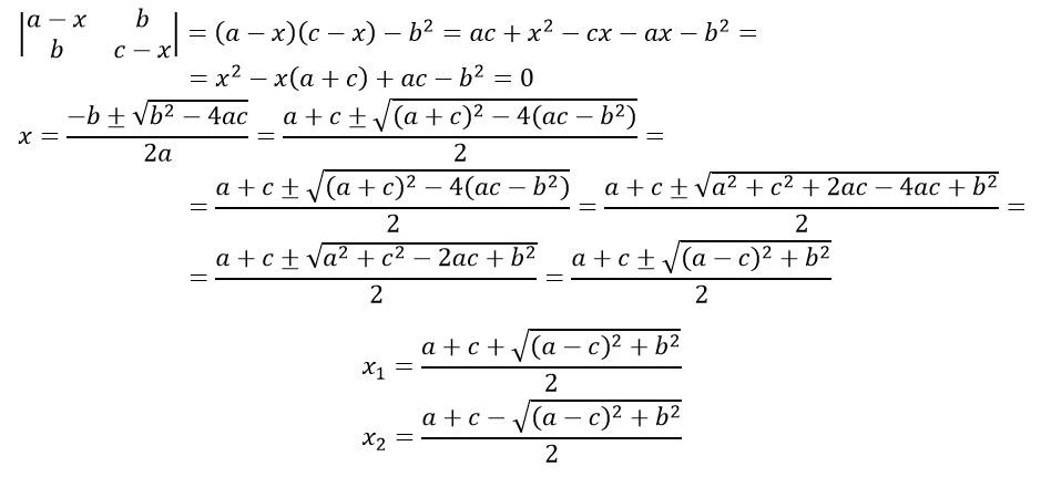
  • icon

    Bryam Maldonado
    el 5/5/18

    Me podrian ayudar con este ejercicio por fvor 

    replythumb_up0 voto/sflag
    icon

    Carlos Flores
    el 6/5/18

    Hola Bryam

    Te paso la resolución del ejercicio:

    Espero haberte ayudado.

    Saludos

    thumb_up0 voto/sflag
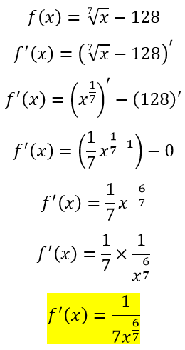
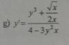
  • icon

    Jonathan Yañez
    el 5/5/18

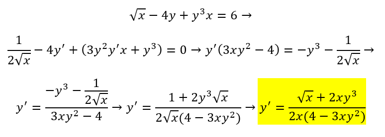
    --------- Derivadas -------------

    Me piden derivar de forma implícita la siguiente función y no llego al resultado.


    Mi resolución.


    Respuesta.


    replythumb_up0 voto/sflag
    icon

    Antonius Benedictus
    el 5/5/18

    Lo tienes perfecto:


    thumb_up1 voto/sflag
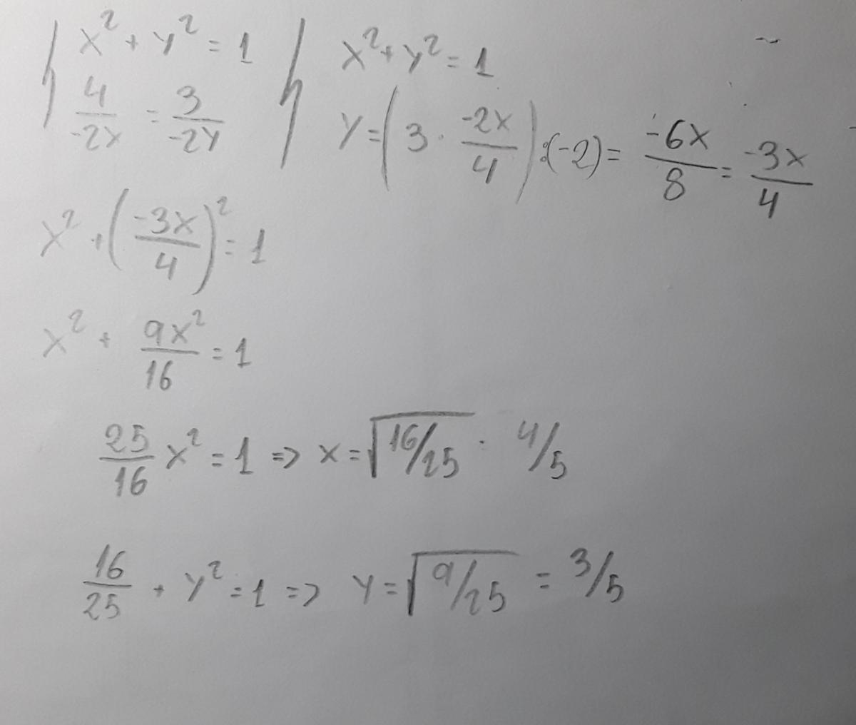
  • Usuario eliminado
    el 5/5/18

    Como aillo esto


    x^2 + y^2 =1

    4/-2x = 3/-2y

    Como aillo esto=

    replythumb_up0 voto/sflag
    icon

    Samuel
    el 5/5/18


    thumb_up1 voto/sflag
    icon

    Samuel
    el 5/5/18

    Es un sistema de dos ecuaciones con dos incógnitas. Lo he hecho mediante el método de sustitución

    thumb_up1 voto/sflag
    icon

    César
    el 6/5/18

    te falta otra solución

    x=-4/5 , y=3/5

    thumb_up0 voto/sflag
  • icon

    Marta
    el 5/5/18

    Buenas tardes !  Alguien me ayuda con este ejercicio?.Gracias !! 



    replythumb_up0 voto/sflag
    icon

    César
    el 6/5/18


    thumb_up0 voto/sflag
  • icon

    Anxan
    el 5/5/18

    Hola, si me preguntan la probabilidad de que haya al menos 5 mujeres. ¿cúal sería el signo correcto?

    ¿ P(x>5) o P(≥5) ?

    muchas gracias

    replythumb_up0 voto/sflag
    icon

    Antonius Benedictus
    el 5/5/18

    La segunda.

    thumb_up0 voto/sflag