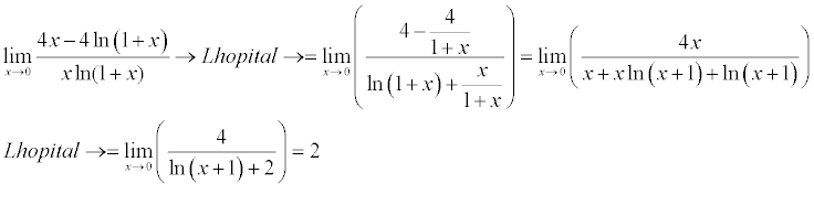
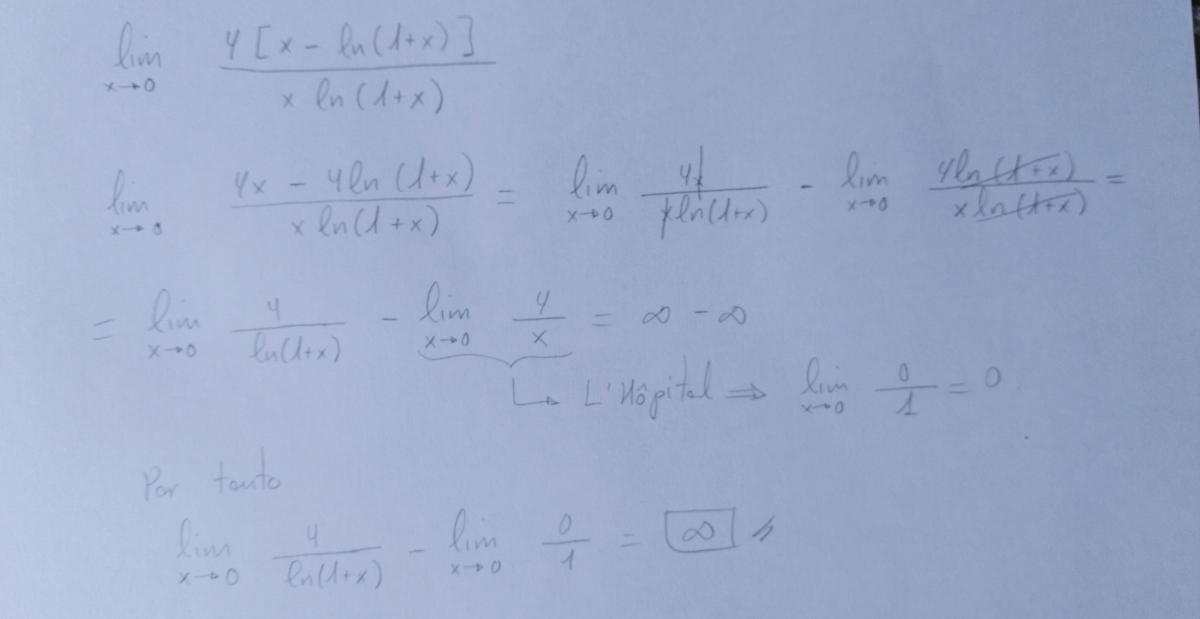
Hola.
El resultado de este límite es 2.
Yo lo he hecho de la siguiente manera:
¿Por qué no me sale el resultado correcto? ¿Qué tengo mal en el procedimiento?
Gracias.
Saludos.
Hola, me ayudáis con este ejercicio de probabilidad porfavor:
Tenemos tres cajas una verde una roja y una amarilla y en cada caja hay una moneda. La de la caja verde está trucada y la probabilidad de que salga cara es el doble de la probabilidad de que salga cruz,
la moneda de la caja roja tiene dos caras y la de la caja amarilla no está trucada. Se toma una caja al azar y se lanza la moneda que está en esa caja, calcular razonadamente:
a) la probabilidad de que salga cara (Sol 0,722)
b) la probabilidad de que sabiendo que ha salido cara, se haya lanzado las monedas de la caja roja ( Sol 0,4615 )
Graciaaasss

Puedes llama X a la variable aleatoria: "número obtenido al arrojar el dado", que puede tomar lo valores: 1, 2, 3, 4, 5 o 6.
Puedes llamar x a la probabilidad de obtener un número distinto de seis, y tienes:
p(X≠6) + p(X=6) =1, observa que la probabilidad x es la misma para todos los números distintos de seis, por lo que puedes plantear.
5x + 1/2 = 1, restas 1/2 en ambos miembros, y queda: 5x = 1/2, divides por 5 en ambos miembros, y queda: x = 1/10 = 0,1;
por lo que tienes:
p(X=6) = 1/2 = 0,5,
p(X=1) = p(X=2) = p(X=3) = p(X=4) = p(X=5) = 0,1.
a)
p(X=2) = 0,1.
b)
p(X≠3) = 1 - p(X=3) = 1 - 0,1 = 0,9.
c)
p(X=par) = p(X=2) + p(X=4) + p(X=6) = 0,1 + 0,1 + 0,5 = 0,7.
d)
p(X=impar) = p(X=1) + p(X=3) + p(X=5) = 0,1 + 0,1 + 0,1 = 0,3.
Espero haberte ayudado.
Buenas, quisiera saber si he despejado bien esta ecuación matricial, ¿puede alguien echarme una mano?
Siendo A, B y C las matrices conocidas y X la matriz a hallar.
AX-BCX=A -> (A-BC)X=A -> A^-1(A-BC)X=I -> A^-1(A-BC)=X^-1
Si nos pones algun problema en concreto, a lo mejor te podemos ayudar mejor. Te paso algunos vídeos:
https://www.unicoos.com/video/matematicas/2-eso/fracciones/numeros-racionales/numero-mixto
https://www.unicoos.com/video/matematicas/3-eso/numeros-racionales/numeros-racionales/numero-mixto
Saludos.