Ayuda con este ejercicio.
Dos personas A y B tiran simultáneamente sus monedas individuales, si se obtiene cara ganan 1 punto y si sale sello 0 puntos. La probabilidad de que los puntos de A excedan a los puntos de B después de 3 tiros es ….
X = puntos A
Y = puntos B
Marco con x las probabilidades que tenemos que calcular
| X / Y | 0 | 1 | 2 | 3 |
| 0 | ||||
| 1 | x | |||
| 2 | x | x | ||
| 3 | x | x | x |
Los tiros de X respecto los de Y son independientes. Por lo tanto:
Pr (X > Y) = Pr (X > 0, Y= 0) + Pr(X > 1, Y = 1) + Pr (X = 3, Y = 2) =
= 1/2³ * (3 * 1/2³ + 3 * 1/2³ + 1/2³) + 3 * 1/2³ * ( 3 * 1/2³ + 1/2³) + 3 * 1/2³ * (1/2³) = 7/2⁶ + 12/2⁶ + 3/2⁶ = 22/2⁶ = 11/2⁵ = 0.34
alguien me puede ayudar con estos ejercicios
Seria de agradecer
1. DE TODOS LOS ORTOEDROS DE BASE CUADRADA E AREA 1m2.
¿cual es el que tiene volumen maximo?
2. EN UN GRUPO DE 500 PERSONAS HAY 200 HOMBRES Y 300 MUJERES. SE ELIGEN AL ALZAR 3 PERSONAS DEL GRUPO ¿CUAL ES LA PROBABILIDAD DE SELECCIONAR MAS MUJERES QUE HOMBRES?
Pon el enunciado original del primer problema por favor
Respecto el segundo problema:
La probabilidad de elegir más mujeres que hombres es la probabilidad de elegir {2 mujeres y 1 hombre} más la probabilidad de elgir {3 mujeres}.
Pr(elegir un hombre) = 200/500 = 2/5
Pr(elegir una mujer) = 300/500 = 3/5
Sin reemplazamiento:
Pr(2 mujeres 1 hombre) = 3 * (300*299*200) / (500*499*498) = 0.43
Pr(3 mujeres) = (300*299*298) / (500*499*498) = 0.21
Pr(más mujeres que hombres) = 0.43 + 0.21 = 0.64

¡Hola! Nos encantaría ayudarte, pero no solemos responder dudas universitarias que no tengan que ver específicamente con los vídeos que David Calle ha grabado como excepción. O de otras asignaturas que no sean Matemáticas, Física y Química. Lo sentimos de corazón… Esperamos que lo entiendas.
Ojalá algún unicoo universitario se anime a ayudarte (de hecho, lo ideal es que todos los universitarios intentarais ayudaros los unos a los otros).

Te muestro cómo lo plantearía yo.
Tienes la expresión de la función, cuyo dominio es R y observa que la función admite derivadas primera y segunda continuas en R:
f(x) = ex*sen(2x) + 10 (1);
luego, plantea la expresión de la función derivada primera:
f ' (x) = ex*sen(2x) + 2*ex*cos(2x) (2);
luego, plantea a expresión de la función derivada segunda:
f ' ' (x) = ex*sen(2x) + 2*ex*cos(2x) + 2*ex*cos(2x) - 4*ex*sen(2x) = -3*ex*sen(2x) + 4*ex*cos(2x) (3).
(a)
Aquí puedes hacer una inferencia, a partir del gráfico de tu enunciado: el punto A es un punto de inflexión, por lo que puedes plantear la condición correspondiente, y tienes la ecuación:
f ' ' (x) = 0, sustituyes la expresión señalada (3) en el primer miembro, extraes factor común y queda:
-3*ex*sen(2x) + 4*ex*cos(2x) = 0, divides en ambos miembros por ex (observa que es una expresión que no toma el valor cero), y queda:
-3*sen(2x) + 4*cos(2x) = 0, restas 4*cos(2x) en ambos miembros, y queda:
-3*sen(2x) = -4*cos(2x), divides por -3*cos(2x) (observa que consideramos que esta expresión es distinta de cero), y queda:
tan(2x) = 4/3, compones en ambos miembros con la función inversa de la tangente, y queda:
2x = arctan(4/3), multiplicas por 1/2 en ambos miembros, y queda:
x = (1/2)*arctan(4/3), que conduce a dos soluciones:
x ≅ 0,464 (con arctan(4/3) en el primer cuadrante, en radianes, que no es de interés según el gráfico de tu enunciado),
a ≅ 2,034 (con arctan(4/3) en el tercer cuadrante, en radianes, que si es de interés según el gráfico de tu enunciado)
(b)
Planteas la condición de valor critico (posible máximo o posible mínimo), y queda:
f ' (x) = 0, sustituyes la expresión señalada (2) en el primer miembro, extraes factor común y queda:
ex*( sen(2x) + 2*cos(2x) ) = 0, divides en ambos miembros por ex (observa que es una expresión que no toma el valor cero), y queda:
sen(2x) + 2*cos(2x) = 0, restas 2*cos(2x) en ambos miembros, y queda:
sen(2x) = -2*cos(2x), divides por cos(2x) en ambos miembros (observa que consideramos que esta expresión es distinta de cero), y queda:
tan(2x) = -2, compones en ambos miembros con la función inversa de la tangente, y queda:
2x = arctan(-2), multiplicass por 1/2 en ambos miembros, y queda:
x = (1/2)*arctan(-2), que conduce a dos soluciones de interés para el problema de tu enunciado:
p ≅ (1/2)*2,034 ≅ 1,017 (con arctan(-2) en el segundo cuadrante, en radianes),
q ≅ (1/2)*5,176 ≅ 2,588 (con arctan(-2) en el cuarto cuadrante, en radianes).
(c)
Observa que tienes un sector sombreado "por encima" del eje OX, y para él la integral entre p y a es igual a su área,
pero observa que tienes otro sector sombreado "por debajo" del eje OX, y para él la integral entre a y q es igual al opuesto de su área,
por lo que tienes que la integral de la función entre p y q es igual a la diferencia entre las áreas de los dos sectores sombreados.
Luego, puedes resolver la integral de la función:
I = p∫q f(x)*dx, sustituyes la expresión señalada (1), y queda:
I = p∫q ( ex*sen(2x) +10) )*dx, separas en términos, y queda:
I = p∫q ex*sen(2x)*dx + p∫q 10*dx, y puedes continuar la tarea,
y observa que la integral del primer término es recursiva (revisa tus apuntes de clase), y la puedes plantear con el Método de Integración por Partes en dos pasos, mientras que la segunda integral es directa.
Espero haberte ayudado.
buenas noches, tengo este problema: que cantidad de resultados se obtiene de sumar, resta, multiplicar y dividir 4 numeros cualquiera?
Ejemplo: (A+B+C+D), (A+B+C-D), (B+C-D*A), (D/A+B-C), etc. No importa si contamos las repeticiones de las sumas y multiplicaciones
Gracias
Hola. Alguien me podría ayudar con este problema:
Encontrá la ecuación reducida de la elipse cuyo semieje mayor tiene longitud 5 y que pasa por el punto P=(4;1)
Gracias

¡Hola! Nos encantaría ayudarte, pero no solemos responder dudas universitarias que no tengan que ver específicamente con los vídeos que David Calle ha grabado como excepción. O de otras asignaturas que no sean Matemáticas, Física y Química. Lo sentimos de corazón… Esperamos que lo entiendas.
Ojalá algún unicoo universitario se anime a ayudarte (de hecho, lo ideal es que todos los universitarios intentarais ayudaros los unos a los otros).
Buenas, necesito ayuda en dos ejercicios
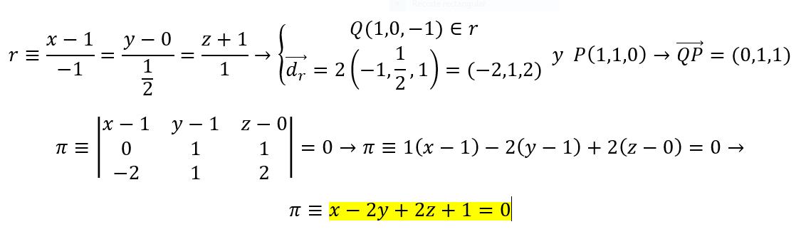
1)Halle la ecuación cartesiana implicita del plano por P(1,1,0) y que contiene a la recta 1-x=2y=1+z
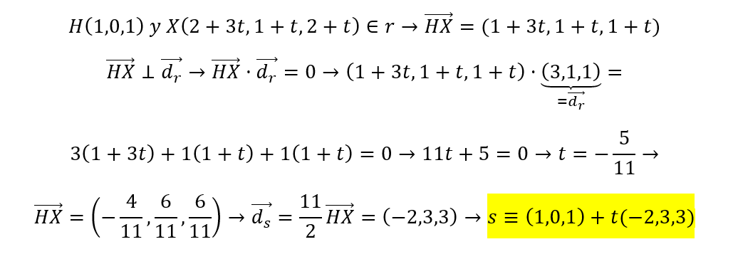
2)Determine la ecuación vectorial de la recta que pasa por H(1,0,1) e intersecta perpendicularmente a X=(2,1,2)+t(3,1,1)
Gracias!