Foro de preguntas y respuestas de Matemáticas

logo beUnicoos
Los foros de unicoos se han unificado en nuestra nueva plataforma beUnicoos. Para dejar nuevas preguntas deberás hacerlo allí, donde además podrás encontrar nuevas asignaturas y herramientas para ayudarte más con tus estudios.

  • Usuario eliminado
    el 30/4/18

    x ≥  y/2

    -2x+y ≤ 0

    ¿Esto es lo mismo?

    replythumb_up0 voto/sflag
    icon

    Antonius Benedictus
    el 30/4/18

    En efecto, lo es.

    thumb_up0 voto/sflag
  • icon

    Naeem Iqbal
    el 30/4/18

    3 cos x -2 cos 2x=2 

    no se como hacelo porfavor ayudadme

    replythumb_up0 voto/sflag
    icon

    Antonius Benedictus
    el 30/4/18


    thumb_up1 voto/sflag
    icon

    Naeem Iqbal
    el 30/4/18

    gracias por atenderme con la mayor brevedad posible antonio

    thumb_up1 voto/sflag
    icon

    Naeem Iqbal
    el 30/4/18

    utilizas una web especifica para esto si lo utilizas dimelo

    thumb_up0 voto/sflag
    icon

    Antonius Benedictus
    el 30/4/18

    No. Estoy en el foro de unicoos para lo que necesites.

    thumb_up1 voto/sflag
  • icon

    Juan de León
    el 30/4/18

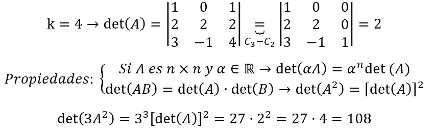
    Buenas tardes. La solución del punto 1 de este ejercicio lo plantean de la siguiente manera y no entiendo por qué. Yo para solucionarlo simplemente sustituí la k por 4, multipliqué la matriz A por sí misma dos veces y luego el resultado lo multipliqué por la constante 3 y por último calculé el determinante.


    replythumb_up0 voto/sflag
    icon

    Antonius Benedictus
    el 30/4/18

    Te pongo los resultados teóricos que se aplican:


    thumb_up0 voto/sflag
  • icon

    Inma Fernández García
    el 30/4/18

    Buenas tardes, en el tema de números complejos hay una pregunta que dice Diga las 3 posibles soluciones de z^4 si z=-1-2i 

    gracias

    replythumb_up0 voto/sflag
    icon

    Antonius Benedictus
    el 30/4/18

    ¿Puedes poner foto del enunciado original?

    thumb_up0 voto/sflag
  • icon

    Inma Fernández García
    el 30/4/18

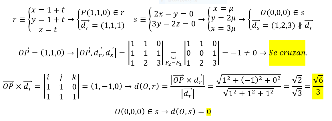
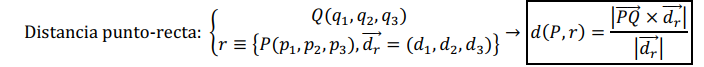
    Buenas tardes, haciendo un ejercicio de geometría me he encontrado con un problema que no me deja avanzar os agradecería que me ayudarais. Gracias

    replythumb_up0 voto/sflag
    icon

    Antonius Benedictus
    el 30/4/18

    Teoría:


    thumb_up0 voto/sflag
  • icon

    Izaskun Etxezarreta
    el 30/4/18

    Buenas tardes, estoy repasando los exámenes de acceso y uno de los ejercicios del 2017 es éste que pongo a continuación y la solución que dan ellos.

    Mi duda es si es correcta la solución, porque yo no lo hago así. Envío también foto del ejercicio resuelto por mi. 

    Gracias    por vuestra ayuda



    replythumb_up0 voto/sflag
    icon

    Antonius Benedictus
    el 30/4/18



    thumb_up0 voto/sflag
  • icon

    Juxian Iván Luo
    el 30/4/18

    Hola, ¿me podríais decir qué fallo he cometido (si lo hay) en este ejercicio?

    replythumb_up1 voto/sflag
    icon

    Antonius Benedictus
    el 30/4/18


    thumb_up0 voto/sflag
  • icon

    Sergio Rodríguez Moreno
    el 30/4/18

    ¿Cómo se hace este ejercicio? Gracias.


    replythumb_up0 voto/sflag
    icon

    Antonius Benedictus
    el 30/4/18


    thumb_up1 voto/sflag
  • icon

    Luis Miguel
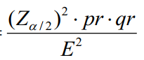
    el 30/4/18

    Queremos estimar, con un nivel de confianza del 94%, la proporción de personas de un determinado lugar que tienen estudios medios. ¿De qué tamaño mínimo debemos seleccionar la muestra si admitimos un error máximo de 0,1? (Se sabe por estudios anteriores que la proporción está en torno al 34%).


    Estoy atascado porque como no pone cual es la desviación tipica, no se como hacerlo, a ver si alguien me puede ayudar. Saludos!!!

    replythumb_up1 voto/sflag
    icon

    Antonius Benedictus
    el 30/4/18

    E=0.1

    Toma n igual a una unidad más la parte entera de:    

    El valor pr=0.34

    z(sub alfa/2) lo tienes bien.


    thumb_up1 voto/sflag
    icon

    Luis Miguel
    el 30/4/18

    Qr, lo tengo que despejar no? q es la probabilidad de fallo no? pero la r que significa. Gracias por tu tiempo

    thumb_up0 voto/sflag
    icon

    Antonius Benedictus
    el 30/4/18

    pr  y  qr  son como p y q (proporciones muestrales)

    thumb_up0 voto/sflag
  • icon

    Miriam
    el 30/4/18

    Hola, como puedo saber si estas matrices son menores o mayores que cero?


    replythumb_up0 voto/sflag
    icon

    Antonius Benedictus
    el 30/4/18

    No tiene sentido decir que una matriz es mayor o menor que otra, o que un número.

    thumb_up0 voto/sflag
    icon

    Luis Miguel
    el 30/4/18

    Creo a lo que refieres es el determinante, que si es igual a cero no tiene solución.

    thumb_up0 voto/sflag