Buenas tardes, quién podría facilitarme una tabla de funciones trigonométricas inversas de funciones trigonométricas y viceversa. Pues estoy con integrales y es imprescindible.
Por ejemplo,
Sen[arcsen(x)]=x
Arcsen[Sen(x)]=x
Cos[arcsen(x)]= √(1-x^2)
Necesito una tabla con todas las combinaciones existentes. Gracias de antemano.
Hola, me podrían ayudar?
1) Dado el complejo W, resuelve en C, dando su resultado en forma binomica y representalo en el Plano de Gauss
W= (√3 + i)9 / (-1+i)6 (-1+ i √3)5
(Es una fracción grande, con una multiplicación de los dos paréntesis de la derecha abajo, por si no se entiende)
Muchas gracias
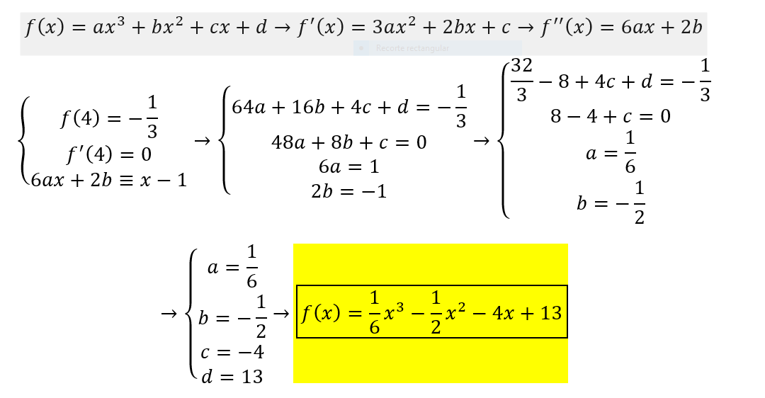
Buenas tardes, alguien me colabora por favor con la demostracion de este teorema? O al menos con el nombre del teorema. Gracias.

¡Hola! Nos encantaría ayudarte, pero no solemos responder dudas universitarias que no tengan que ver específicamente con los vídeos que David Calle ha grabado como excepción. O de otras asignaturas que no sean Matemáticas, Física y Química. Lo sentimos de corazón… Esperamos que lo entiendas.
Ojalá algún unicoo universitario se anime a ayudarte (de hecho, lo ideal es que todos los universitarios intentarais ayudaros los unos a los otros).