Foro de preguntas y respuestas de Matemáticas

logo beUnicoos
Los foros de unicoos se han unificado en nuestra nueva plataforma beUnicoos. Para dejar nuevas preguntas deberás hacerlo allí, donde además podrás encontrar nuevas asignaturas y herramientas para ayudarte más con tus estudios.

  • icon

    Frangelis Lisayri
    el 28/4/18

    Cuales son las clases de Progresiones Geométricas, Por favor ayuda con esto. 

    replythumb_up0 voto/sflag
    icon

    Antonius Benedictus
    el 28/4/18

    icon

    Frangelis Lisayri
    el 28/4/18

    No me ha ayudado, estaba buscando una respuesta directa. 

    thumb_up0 voto/sflag
    icon

    Antonius Benedictus
    el 28/4/18


    thumb_up1 voto/sflag
  • icon

    Rj Mitte
    el 28/4/18

    Como quedaria el 16? asi= t=arctan(t), y=sec(arctan(x)) y se deja asi??

    replythumb_up0 voto/sflag
    icon

    Antonius Benedictus
    el 28/4/18


    thumb_up1 voto/sflag
  • icon

    Alba
    el 28/4/18

    Hola, por qué utiliza dos fórmulas diferentes? Cuando tengo que usar una u otra? 

    replythumb_up0 voto/sflag
    icon

    Facu Imfeld
    el 28/4/18

    Ejercicio 1 o 2?

    thumb_up0 voto/sflag
    icon

    Antonius Benedictus
    el 28/4/18

    Son dos situaciones distintas:


    thumb_up0 voto/sflag
  • icon

    fernando
    el 28/4/18


    En este  tipo de problemas, que es lo que deberia estudiar? Estoy estudiando los vectores y ecuaciones de la recta, pero las preguntas  que me pone, no estoy seguro que se vayan a hacer así..  que debería mirar?

    replythumb_up0 voto/sflag
    icon

    Antonius Benedictus
    el 28/4/18

    icon

    fernando
    el 29/4/18

    Si, eso lo tengo claro,pero no entiendo  el "1:50.00" , en ningún ejercicio que  hice (que no fueron pocos), me salia eso. ¿que es? 

    thumb_up0 voto/sflag
  • Usuario eliminado
    el 28/4/18

    f(x)=(x^(2)-1)/(x+2) como averiguar la asintota horizontal de esto

    replythumb_up0 voto/sflag
    icon

    Antonius Benedictus
    el 28/4/18

    El límite en infinito es +infinito. No tiene asíntota horizontal.

    thumb_up0 voto/sflag

    Usuario eliminado
    el 28/4/18

    Revisa tu enunciado porque para empezar ,veo que la f(x) que has puesto no tiene asíntotas horizontales,tiene oblicua .

    El numerador es x-1  y  el denominador es x+2 ,cuando es un grado mayor el numerador es oblicua y por lo tanto no es horizontal.

    Saludos.

    thumb_up0 voto/sflag
  • icon

    Alfonso Sampedro
    el 28/4/18

    Hola unicoos! Alguien me ayuda con esta cuestión de la probabilidad? Gracias 


    replythumb_up0 voto/sflag
    icon

    Rasyer
    el 28/4/18

    Hola Alfonso,

    Vamos a llamar al suceso que buscas 'p'.

    'p' está comprendido entre [0, 1]. Y si sabemos la teoria, el suceso contrario a 'p' es 1-p.

    Entonces planteamos la siguiente ecuación:

    p² + (1-p)² = 5/9             Resolvemos:

    p² + 1 - 2p + p² = 5/9

    2p² - 2p + 4/9 = 0

    p = (2 ± √(4 - 32/9))/4 = (2 ± √(4/9))/4 = (2 ± 2/3) / 4 = 8/12 o 4/12 -------> 2/3   o   1/3

    Obviamente el resultado es p y 1-p.

    thumb_up1 voto/sflag
  • icon

    Jairo Achury Sanchez
    el 28/4/18

    Hola, es para mi hija de 5° de primária:

    Problema:

    "A María le gustan las canicas y tiene unas cuantas. El lunes perdió 5 y el miércoles tenia 3 más que el lunes. Cuantas canicas ganó el martes?"

    Agradezco sus respuestas, muchas gracias.

    replythumb_up0 voto/sflag
    icon

    José Bernal
    el 28/4/18

    Partiendo de que el enunciado puede entenderse de dos formas (que las canicas del miércoles sean tres más a las del lunes antes de perder las cinco  o que sean tres más que el lunes después de perder las cinco) podría haber dos formas de resolverlo y dos soluciones. Eso pasa mucho en las clases de matemáticas. También hay un matiz que no queda claro en lo de que tenía unas cuantas... eso pueden ser 100 o 4 canicas. Si son 100 vamos bien, pero si son 4, para un niño de 5º de primaria la cosa se complica. Vamos a pensar que tiene más de 5.

    En cualquier caso a un alumno de 5º  quizás no sea necesario planteárselo claramente como una ecuación si no las ha trabajado, pero sí es bueno que se inicie en ellas. Y sobretodo es importante que se haga lo más visual posible o manipulativo. Sobre el papel esto se puede conseguir con un dibujo y proponiendo que imagine las canicas con las que partía el lunes. La cantidad es irrelevante ya que no nos pide ese dato en la pregunta, por lo que podemos tomar como partida que tenía 20. (Otra cosa sería si tuviera menos de 5, entonces la cosa se complica)

    Ejemplo 1, si el miércoles lo compara con las del lunes antes de perder:

    20 (lunes) - 5 + martes = 23 (que son las de lunes más 3)   Y el alumno puede hacer
    20 - 5 + m = 23 
    15 - m = 23
    m = 8

    Ejemplo 2, si el miércoles lo compara con el lunes al final de la jornada, con cinco menos:

    20 - 5 (lunes) + m = 18 (que son las 15 con que terminó el lunes y tres más)
    20 - 5 + m = 18
    15 + m = 18
    m =3

    Espero haberte ayudado :)

    thumb_up0 voto/sflag
    icon

    Rasyer
    el 28/4/18

    Hola Jairo,

    Si el lunes perdió 5 canicas y el miércoles tenía 3 más que el lunes, esto significa que recuperó las canicas perdidads y además consiguió tres más.

    Por lo tanto el martes ganó 5 + 3 = 8 canicas.

    thumb_up1 voto/sflag
  • icon

    Vivi
    el 28/4/18

    Ayuda

    Si la base de un rectángulo le sumas 48 y multiplicas esta cantidad por la obtenida al restar 12 a la altura, obtienes el área del rectángulo. Si ahora sumas 16 a la base, restas 8 a la altura y multiplicas las cantidades obtenidas, vuelves a encontrar el área del rectángulo. ¿ Cual es la relación entre la base y la altura del rectángulo? 

    replythumb_up0 voto/sflag
    icon

    Rasyer
    el 28/4/18

    Hola vivi,

    vamos a llamar a la base 'b' y a la altura 'h'. Al área del rectángula la llamaremos 'a'

    El enunciado nos dice lo siguiente:

    b+48 * h-12 = a

    b+16 * h-8 = a

    Igualamos las dos ecuaciones:

    b+48 * h-12 = b+16 * h-8                           Ahora multiplicamos en cada lado

    bh - 12b + 48h - 576 = bh - 8b + 16h - 128

    -4b + 32h - 448 = 0

    b = (32h - 448)/4 = 8h - 112                    Date cuenta que si (h < 14), 'b' es negativa, por lo tanto 'h' debe ser > 14.


    thumb_up0 voto/sflag
  • icon

    Juxian Iván Luo
    el 28/4/18

    Hola, ¿cómo se haría la integral indefinida de ∫ (1/(x2+1)2)dx para poder resolver este ejercicio?


    replythumb_up0 voto/sflag
    icon

    Antonius Benedictus
    el 28/4/18


    thumb_up0 voto/sflag
    icon

    Juxian Iván Luo
    el 29/4/18

    ¿Puedes explicarme cómo se llega a esta parte?

    thumb_up0 voto/sflag
  • icon

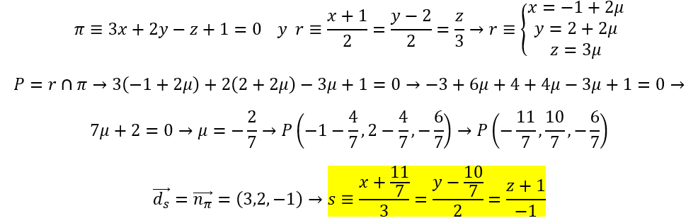
    Arnau Planas
    el 28/4/18

    Buenas tardes, ¿me podrían ayudar con este problema de geometría al espacio?

    Dado Π= 3x + 2y - z +1=0 y  r: (x+1)/2 = (y-2)/2 = z/3 hallar la recta perpendicular a Π que pasa pel punto de intersección de Π y r. 

    Muchas gracias



    replythumb_up0 voto/sflag
    icon

    Antonius Benedictus
    el 28/4/18


    thumb_up1 voto/sflag