Hola, una pregunta, en el apartado a) que calculos hay que hacer para saber que las rectas no son coincidentes ?? Gracias !


Observa que tienes las ecuaciones cartesianas simétricas (o continuas) de la recta r,
y tienes que el punto A(1,2,0) pertenece a la recta r, cuyo vector director queda expresado: ur = <k,2,-1>.
Luego, observa que si reemplazas las coordenadas del punto A en las ecuaciones de la segunda recta, quedan las igualdades:
-1 = 0,
0 = 1,
que son absurdas, por lo que tienes que el punto A no pertenece a la segunda recta, por lo que puedes concluir que la recta r y la recta s no son coincidentes para cualquier valor k.
Luego, observa que tienes a la recta s presentada como intersección entre dos planos, por lo que puedes plantear que su vector director es el producto vectorial entre los vectores normales a los planos, y tienes:
us = <1,-1,-1> x <2,-1,0> = <-1,-2,1>.
a)
1)
Planteas la condición de paralelismo (los vectores directores son paralelos, por lo que el producto vectorial entre ellos es nulo):
urx us = O, sustituyes expresiones, y queda:
<k,2,-1> x <-1,-2,1> = <0,0,0>, resuelves el producto vectorial, y queda:
<0,1-k,-2k+2> = <0,0,0>;
luego, por igualdad entre vectores, igualas componente a componente, y queda el sistema:
0 = 0 (observa que es una identidad verdadera),
1 - k = 0, aquí sumas k en ambos miembros, y queda: 1 = k,
-2k + 2 =0, aquí divides por 2 en todos los términos, y queda: -k +1 = 0, sumas k en ambos miembros, y queda: 1 = k;
luego, puedes concluir que las rectas son paralelas para k = 1.
2)
Plantea la condición de perpendicularidad entre los vectores directores (por lo que tienes que el producto escalar entre ellos es igual a cero):
ur • us = 0, sustituyes expresiones, y queda:
<k,2,-1> • <-1,-2,1> = <0,0,0>, resuelves el producto escalar, y queda:
-k - 4 - 1 = 0, sumas k en ambos miembros, reduces términos semejantes, y queda: -5 = k,
por lo que tienes que las rectas pueden ser perpendiculares o alabeadas para k = -5.
Luego, reemplazas el valor remarcado en las ecuaciones simétricas de la recta r, igualas a un parámetro (t) a cada uno de sus miembros, y queda el sistema de ecuaciones:
(x - 1)/5 = t, de aquí despejas: x = 1 + 5t (1),
(y - 2)/2 = t, de aquí despejas: y = 2 + 2t (2),
z/(-1) = t, de aquí despejas: z = -t (3);
luego, a fin de investigar si existe un punto de intersección entre las dos rectas,sustituyes las expresiones señaladas (1) (2) (3) en las ecuaciones cartesianas implícitas de la recta s, y queda:
(1+5t) - (2+2t) - (-t) = 0, resuelves el primer miembro, y queda: 4t - 1 = 0, de aquí despejas: t = 1/4,
2(1+5t) - (2+2t) = 1, resuelves el primer miembro, y queda: 8t =1, de aquí despejas: t = 1/8,
y como tienes que los valores del parámetro no coinciden tienes que las rectas no se cortan, y resultan ser alebeadas con vectores directores perpendiculares entre sí, pero tienes que las rectas no son perpendiculares para cualquier valor k, porque no tienen punto de intersección.
Espero haberte ayudado.

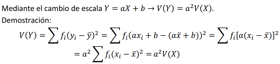
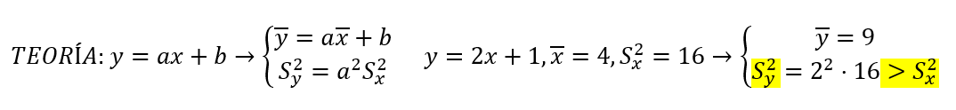
Recuerda la expresión de la longitud de una circunferencia en función de su radio:
L = 2π*R (1).
Recuerda la expresión de la longitud de una cuerda en función de la medida del ángulo que subtiende:
Lc = 2*R*sen(θ/2) (2).
7)
Reemplazas el dato de tu enunciado en la ecuación señalada (1), y queda:
14π = 2π*R, divides en ambos miembros por 2π y queda:
7 cm = R;
luego, reemplazas el valor remarcado y la medida del ángulo que tienes en tu enunciado en la ecuación señalada (2), y queda:
Lc = 2*7*sen(80°/2) = 14*sen(40°) cm,y solo queda que hagas el cálculo.
8)
Reemplazas los datos de tu enunciado en la ecuación señalada (2), y queda:
2 = 2*5*sen(θ/2), divides por 10 en ambos miembros de la ecuación, y queda:
0,2 = sen(θ/2), compones con la función inversa del seno (observa que debes emplear tu calculadora), y queda:
11,537° ≅ θ/2, multiplicas por 2 en ambos miembros, y queda:
23,074° ≅ θ.
Espero haberte ayudado.

Primero, recuerda que cada recta tiene su propio parámetro, por lo que dejamos k en las ecuaciones cartesianas paramétricas de la primera recta, pero debes asignar otra letra, por ejemplo m, para el parámetro de la segunda recta.
Luego, igualas coordenada a coordenada, y queda el sistema de tres ecuaciones con dos incógnitas:
2 + 2k = -1 + m, aquí sumas 1 en ambos miembros, y queda: 3 + 2k = m (1),
1 - k = -1 + 3m, aquí restas 1 y restas 3m en ambos miembros, y queda: -k - 3m = -2 (2),
3 + k = 4 - 2m, aquí restas 3 y sumas 2m en ambos miembros, y queda: k + 2m = 1 (3).
Luego, sustituyes la expresión señalada (1) en las ecuaciones señaladas (2) (3), y queda el sistema de dos ecuaciones con una incógnita:
-k - 3(3 + 2k) = -2,
k + 2(3 + 2k) = 1;
luego, distribuyes los segundos términos en ambas ecuaciones, reduces términos semejantes, y queda:
-7k - 9 = -2, aquí sumas 9 en ambos miembros, y queda: -7k = 7, divides por -7 en ambos miembros, y queda: k = -1,
5k + 6 = 1, aquí restas 6 en ambos miembros, y queda: 5k = -5, divides por 5 en ambos miembros, y queda: k = -1;
y tienes que el valor del parámetro que corresponde al punto de intersección en la primera recta es: k = -1;
luego, reemplazas el valor remarcado en la ecuación señalada (1), y queda:
3 +2(-1) = m, resuelves y queda: 1 = m,
y tienes que el valor del parámetro que corresponde al punto de intersección en la segunda recta es: m = 1.
Luego, puedes reemplazar en las ecuaciones cartesianas paramétricas que tienes en tu enunciado, y queda:
a)
para la recta r:
x = 2 + 2(-1) = 0,
y = 1 - (-1) = 2,
z = 3 + (-1) = 2;
b)
para la recta s:
x = -1 + 1 = 0,
y = -1 + 3(1) = 2,
z = 4 - 2(1) = 2;
por lo que puedes concluir que el punto de intersección entre las dos rectas queda expresado: A(0,2,2).
Espero haberte ayudado.
Hola! Podríais resolverme este ejercicio?
Dada la recta que pasa por P=(-2 , 5) y tiene como pendiente 4/3, calcula las distintas ecuaciones de la recta: vectorial, paramétricas, continua, explícita y punto pendiente.
No estoy seguro de si tienes que justificar de otra forma, pero según el enlace que te he mandado:
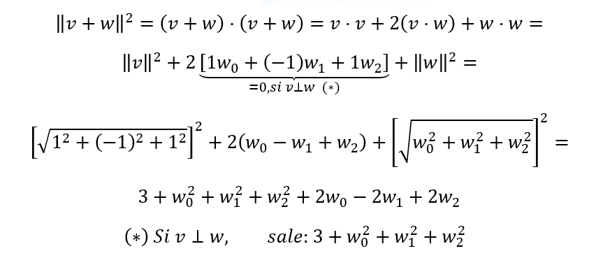
Parece que q1 cumple que "es un polinomio de grado 2 con n variables" (en concreto 3). Por lo tanto es forma cuadrática.
Parece que q2 no cumple que "es un polinomio de grado 2 con n variables", porque es de grado 1. Por lo tanto no tiene forma cuadrática.
Si A y B son 2 conjuntos que estan incluidos dentro de U:
¿Qué significa n(AB)? Parece una Cardinalidad, pero no entiendo que significa eso. ¿Acaso significa n(A)n(B) ?
He considerado que "n" hace referencia al número de elementos del conjunto y las barras "| |" simbolizan el valor absoluto o cardinal, por lo tanto n( ) = | | en el contexto que creo que te mueves.
n(AB)=
|AB| =
|A||B| =
(n(A))n(B)
**De todos modos manda si quieres una foto del contexto de donde has sacado "n(AB)" para que podamos asegurarte.

La C que aparece como superíndice se refiere al complementario del conjunto. Te adjunto un esquema para representar las 4 condiciones que te piden en el enunciado. Las respuestas a los apartados a) y b) son t y d respectivamente. Te pongo solo el resultado para que obtengas tú t y d.
Buenas noches, en la función f(x) = x2lnx, ¿cuál sería el punto de inflexión? ¿Tiene alguna asíntota?
¡Muchas gracias!
Hallamos la 2ª derivada:
f(x)=x2lnx -----------> Observa que su dominio es [0,inf)
f´(x)= 2xlnx+x2*(1/x) = 2xlnx +x
f´´(x)= 2lnx+2x*(1/x) +1 = 2lnx+2 +1 = 2lnx+3
Igualamos la 2ª derivada a cero:
f´´(x)=0
2lnx+3=0 -----> lnx= -3/2 -----> x= e-3/2 = 1/(√e3) -----------> Observa que 0 ≤ 1/(√e3) ≤ inf , por lo que está dentro del dominio
Por lo tanto tenemos un CANDIDATO a punto de inflexión.
-------------------------------------------------
Estudiamos el posible punto de inflexión x=1/(√e3) calculando si cambia el valor en f´´(x)entre algún intervalo definido por el hipotético punto y el dominio:
(0,1/(√e3)) -----tomamos un valor aleatorio que esté en el intervalo, por ej. x=0.1------> 2ln(0.1)+3 ------> NEGATIVO
(1/(√e3),inf) -----tomamos un valor aleatorio que esté en el intervalo, por ej. x=1------> 2ln(1)+3 ------> POSITIVO
Por lo tanto hemos ASEGURADO y el valor de la coordenada x del punto de inflexión: x=1/(√e3)
--------------------------------------------------
Solo nos queda hallar el par "y" para determinar completamente el P.I., sustituyendo x=1/(√e3) en f(x):
f(1/(√e3))=
(1/(√e3))2*ln(1/(√e3))=
(1/e3)*lne-3/2 =
(1/e3)*(-3/2) =
-3/(2e3)
CONCLUIMOS QUE TENEMOS UN PUNTO DE INFLEXIÓN EN (1/(√e3),-3/(2e3))