Foro de preguntas y respuestas de Matemáticas

logo beUnicoos
Los foros de unicoos se han unificado en nuestra nueva plataforma beUnicoos. Para dejar nuevas preguntas deberás hacerlo allí, donde además podrás encontrar nuevas asignaturas y herramientas para ayudarte más con tus estudios.

  • icon

    Fernanda
    el 19/4/18

    En un triángulo cualquiera b=8m c=6m y A=30°. Calcula a y los ángulos B y C

    replythumb_up0 voto/sflag
  • icon

    fernando
    el 19/4/18

    cómo calcularía la respuesta A? Me podéis decir de que apartado es en funciones? muchas gracias

    replythumb_up0 voto/sflag
    icon

    César
    el 19/4/18



    thumb_up0 voto/sflag
    icon

    Antonius Benedictus
    el 19/4/18


    thumb_up0 voto/sflag
  • icon

    Fernanda
    el 19/4/18

    Cos^2x - sen^2x+senx =0

    replythumb_up0 voto/sflag
    icon

    Antonius Benedictus
    el 19/4/18

    Buenas tardes. Sube foto del enunciado original, por favor.

    thumb_up1 voto/sflag
    icon

    Antonius Benedictus
    el 19/4/18

    icon

    Antonio
    el 19/4/18

    cos2x - sen2x+senx =0

    sustituyendo Cos2x=1-sen2x tenemos
    1-sen2x - sen2x+senx =0

    1-2sen2x +senx =0

    y ahora sustituyendo senx por t:
    1-2t2 +t =0 => -2t2 +t+1 =0 => 2t2 -t-1 =0 

    resolvemos la ecuación de segundo grado:
    t=1 y t= - 1/2

    con t = 1 => senx=1 => x=π/2
    con t = - 1/2 => senx= - 1/2 => x=7π/6 y  x=11π/6

    por lo tanto, la solución es:

     x1=π/2 +2πk,  x2=7π/6 +2πk  y  x3=11π/6 +2πk donde k

    thumb_up1 voto/sflag
  • icon

    Roy
    el 19/4/18

    Tengo bien el 24?

    replythumb_up0 voto/sflag
    icon

    Antonius Benedictus
    el 19/4/18


    thumb_up0 voto/sflag
  • icon

    Francisco
    el 19/4/18

    Hola buenas tardes, tengo una duda sobre cómo hacer esta derivada logarítmica: tag x sen x La he hecho por dos procedimientos diferentes pero me dan diferente y no sé cuál es la que está bién. 

    - Haciéndola de esta forma: ln y = ln (tag x)sen x ..... me da y' = cos x * ln(tag x) + (sen x / tag x * cos2x) * tag xsen x

    -Pero si la hago de esta otra forma: y' = 1/(cos2x)sen x y después cojo xsen x y hago ln y = ln xsen x ...... y me da y' = 1/(cos2x)sen x * (cos x * ln x + (sen x/x) * xsen x

    Gracias de antemano



    replythumb_up0 voto/sflag
    icon

    Antonius Benedictus
    el 19/4/18


    thumb_up1 voto/sflag
  • icon

    Fernanda
    el 19/4/18

    ME URGE ! No se como hacer este problema de trigonometría: Se quiere medir la altura de una estatua colocada en El Centro de un lago circular. Para ello, se mide el ángulo que forma la visual al extremo superior de la estatua desde la orilla del lago con la horizontal y resulta ser de 50 grados, nos alejamos 45 metros y volvemos a medir. Obtenemos un ángulo de 35 grados. Adivina la altura de la estatua y la superficie del lago.

    replythumb_up0 voto/sflag
    icon

    Antonius Benedictus
    el 19/4/18


    thumb_up1 voto/sflag
  • icon

    Adrian
    el 19/4/18

    Hola a todos, Antonio me ayudo con este ejercicio, lo resolvió usando Homotecia y para hallar el punto de interseccion entre las tangentes uso una fórmula            d=(C1-k.C2)/2-k siendo C1 y C2 los centros de las circunferencias, mi pregunta es ,esa fórmula de que es? Gracias 

    replythumb_up0 voto/sflag
    icon

    César
    el 19/4/18



    thumb_up1 voto/sflag
    icon

    Adrian
    el 20/4/18

    Hola Cesar, disculpa mi ignorancia pero a que corresponde d-kc que serian? es una formula de homotecia ? Gracias.

    thumb_up0 voto/sflag
  • icon

    Aimar Albizu Martínez de Goñi
    el 19/4/18

    Estamos dando proporcionalidad y tengo el siguiente problema para resolver:

    Una madre ahorra 150€ para repartir a sus hijos según sus edades. ¿ Cuánto debe dar a cada hijo si tienen 7 y 8 años?

    Yo lo he resuelto de la siguiente forma, pero no estoy seguro.

    7+8=15      150:15= 10 al año    7x10= 70   y        8x10=80      

    ¿Sería correcto?


    replythumb_up0 voto/sflag
    icon

    Antonius Benedictus
    el 19/4/18

    Es correcto.

    thumb_up0 voto/sflag
  • icon

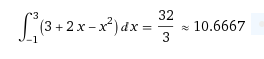
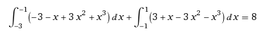
    sheyla
    el 19/4/18

    Calcula el área del recinto limitado por la parábola y=3x-x2 y la recta y=x-3

    replythumb_up0 voto/sflag
    icon

    Antonius Benedictus
    el 19/4/18


    thumb_up0 voto/sflag
  • icon

    Rubí Gonzalez
    el 19/4/18

    Buenas tardees, me podeis ayudar con un ejercicio de geometria? gracias!


    replythumb_up0 voto/sflag
    icon

    Antonius Benedictus
    el 19/4/18