HOLA UNICOOOS ME PODÉIS AYUDAR EN ESTE SISTEMA... Gracias!!! Saludos
7. Dado el siguiente sistema, discutirlo según los valores de m y resuelva cuando sea compatible indeterminado.
(m + 1) x + y + z = 3
x + 2y + mz = 4
x + my + 2z = 2}

Antes de derivar, observa que tienes la expresión de la función, luego puedes expresar al numerador como una potencia con exponente fraccionario, al denominador como potencia con exponente uno, y luego aplicar la propiedad de la división entre potencias con bases iguales:
f(x) = ∛(x2+1) / (x2+1) = (x2+1)1/3 / (x2+1)1= (x2+1)-2/3.
Luego, observa que para derivar debes aplicar la Regla de la Cadena:
f ' (x) = -(2/3)*(x2+1)-5/3 * 2x = -(4/3)*x*(x2+1)-5/3= -(4/3)*x*∛( (x2+1)5 ).
Observa que puedes también extraer un factor fuera de la raíz cúbica, y queda:
f ' (x) = -(4/3)*x*(x2+1)*∛( (x2+1)2 ).
Espero haberte ayudado.
Buenos días Unicoos!
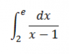
No sé hacer el siguiente ejercicio de límites, ¿me podríais ayudar?
la idea sería calcular cuándo la ecuación no es contínua y ponerlo en intervalos ¿o cómo?
Mil gracias de antemano!

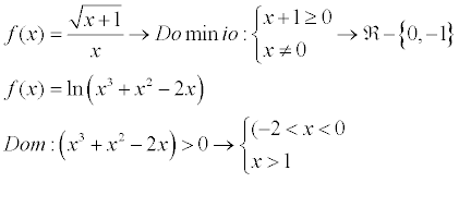
Vamos con una precisión.
El dominio de la primera función es: D = {x∈R: x ≥ -1 y x ≠ 0} = [-1,0) ∪ (0,+∞).
Para la segunda función, planteas:
x3 + x2 - 2x > 0, extraes factor común, y queda:
x*(x2 + x - 2) > 0, factorizas el polinomio cuadrático del agrupamiento, y queda.
x*(x-1)*(x+2) > 0.
Luego, tienes cuatro opciones:
a) x > 0, x-1 > 0 y x+2 > 0, que conduce a: x > 0, x > 1 y x > -2, que corresponde al intervalo: A = (1,+∞);
b) x > 0, x-1 < 0 y x+2 < 0, que conduce a: x > 0, x < 1 y x < -2, que corresponde al intervalo vacío;
c) x < 0, x-1 > 0 y x+2 < 0, que conduce a: x < 0, x > 1 y x < -2, que conduce al intervalo vacío;
d) x < 0, x-1<0 y x+2 > 0, que conduce a: x < 0, x < 1 y x > -2, que corresponde al intervalo: D = (-2,0).
Luego, planteas la unión de todos los intervalos, y el dominio de la función qued a expresado:
D = (1,+∞) ∪ Φ ∪ Φ ∪ (-2,0) = (-2,0) ∪ (1,+∞).
Espero haberte ayudado.