Buenaas, una pregunta de limites, porque en el primer paso del apartado b) después de identificar el tipo de indeterminación In ( x2 ) pasa a ser 2Inx?? Otra cosa, cuando In(x) tiende a infinito o a 0 que valor me da ??? Gracias !!!

después de identificar el tipo de indeterminación In ( x2 ) pasa a ser 2Inx??
Otra cosa, cuando In(x) tiende a infinito o a 0 que valor me da ???
Observa que cuando valor x tiende a cero la función tiende a menos infinito (en x=0 el ln(x) no existe y en x=0+ es menos infinito)
Y cuando la x tiende a infinito obtienes en f(x) valor infinito (aunque crezca despacio, al final llega al infinito teóricamente)
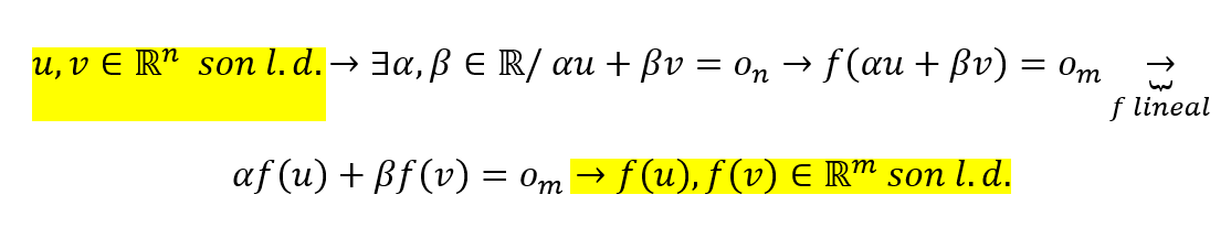
Explique como se obtiene la matriz asociada a un cambio de base.
Hola, me estoy preparando para la Prueba de Competencias Claves 3, si por favor me ayudan a resolver estos ejercicios, gracias de antemano
1) Al apoyar una escalera de 3 metros en una pared, su extremo superior alcanza una altura de 2.7 metros, Calcule:
a) El ángulo que forma la escalera y el suelo.
b) La distancia del pie de la escalera a la pared.
2) Dos apartados:
a) Determine para qué valores de x es creciente la función: y=-x2+10x.
b) Obtenga el área de la porción de superficie del semiplano superior limitada entre la curva y= -x2 + 10x y el segmento rectilíneo que une los puntos.
Gracias
María Elena

1)
Observa que entre el piso, la pared y la escalera tienes determinado un triángulos rectágulo, cuyos elementos son:
L = 3 m (hipotenusa),
x = a determinar (base),
y = 2,7 m (altura).
Luego, planteas la ecuación pitagórica, y queda:
x2 + y2 = L2, reemplazas valores, y queda:
x2 + 2,72 = 32, resuelves términos numéricos, y queda:
x2 + 7,29 = 9, restas 7,29 en ambos miembros, y queda
x2 = 1,71, extraes raíz cuadrada en ambos miembros, y queda:
x = √(1,71) m ≅ 1,308 m.
Luego, puedes plantear la expresión del seno del ángulo:
senθ = y/L = 2,7/3 = 0,9,
luego compones con la función inversa del seno, y queda:
θ ≅ 64,159°.
2)
Puedes extraer factor común -1 en el segundo miembro de la ecuación, y queda:
y = -(x2 - 10x), sumas y restas 25 en el agrupamiento, y queda:
y = -(x2 - 10x + 25 - 25), factorizas el trinomio cuadrado perfecto, y queda:
y = -( (x - 5)2 - 25 ), distribuyes el signo, y queda:
y = -(x - 5)2 + 25,
que es la ecuación cartesiana canónica de una parábola con eje de simetría paralelo al eje OY, cuyas ramas se extienden hacia valores negativos de la ordenada (y), y cuyo vértice (y punto "más alto" en su gráfica) es:
V(5,25), y luego tienes que la gráfica de la función:
es creciente para x < 5,
presenta un máximo en x = 5,
es decreciente para x > 5.
Luego, plantea la condición de intersección entre la parábola y el eje OX:
y = 0, sustituyes en el primer miembro, y queda:
-x2 + 10x = 0, multiplicas por -1 en todos los términos de la ecuación, y queda:
x2 - 10x = 0, que es una ecuación polinómica cuadrática cuyas soluciones son: x1 = 0 y x2 = 10.
Luego, si el área a calcular corresponde a la región limitada por la parábola y el eje OX, puedes plantear:
A = 0∫10 (-x2 + 10x)dx = integras = [-(1/3)x3 + 5x2] = evalúas = ( -(1/3)(103) + 5(102) ) - (0 + 0) =
= -1000/3 + 500 = 500/3.
Espero haberte ayudado.
1er paso)
Definimos el contexto de espacio vectorial real con las propiedades que verás en el apartado "definición de espacio vectorial real" en el link https://es.wikipedia.org/wiki/Espacio_vectorial#Definici.C3.B3n_de_subespacio_vectorial
2º paso)
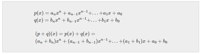
*Sean p(x) y q(x) polinomios de grado ≤ n se cumple que:
El polinomio resultante (p+q)(x) pertenece al conjunto de los polinomios con grado ≤ n
*Para todo k perteneciente al cuerpo y p de grado menor que n, el polinomio
(kp)(x)=kp(x)=k*an*xn+....+k*a0 -----> Polinomio de grado ≤ n
3er paso))
Concluimos por el contexto del paso 1 y la acotación que hacemos en el paso 2 que la suposición de tu enunciado es verdadera.
4º ESO.
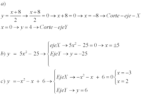
Me piden hallar los puntos de corte con los ejes de las funciones:
a) y = (x + 8) : 2
b) y = 5x2 − 25
c) y = −x2 − x + 6
Muchas gracias.

1) Recuerda la condición de corte con el eje OX: y = 0.
2) Recuerda la condición de corte con el eje OY: x = 0.
a)
1)
(x+8):2 = 0, multiplicas por 2 en ambos miembros, y queda: x+8 = 0, restas 8 en ambos miembros, y queda:
x = -8, por lo que tienes que el punto de corte con el eje OX es: A(-8,0);
2)
y = (0+8):2 = 8:2 = 4, por lo que tienes que el punto de corte con el eje OY es: B(0,4).
b)
1)
5x2-25 = 0, divides por 5 en todos los términos de la ecuación, y queda:
x2 - 5 = 0, sumas 5 en ambos miembros, y queda:
x2 = 5, extraes raíz cuadrada en ambos miembros, y tienes dos opciones:
x1 = -√(5), que corresponde al punto de corte: A1(-√(5),0),
x2 = √(5), que corresponde al punto de corte: A2(√(5),0);
2)
y = 5(0)2 - 25 = 0 - 25 = -25, por lo que tienes el punto de corte: B(0,-25).
c)
1)
-x2 - x + 6 = 0, multiplicas por -1 en todos los términos de la ecuación, y queda:
x2 + x - 6 = 0, que es una ecuación polinómica cuadrática con dos soluciones reales, por lo que tienes dos opciones:
x1 = -3, que corresponde al punto de corte A1(-3,0),
x2 = 2, que corresponde al punto de corte A2(2,0);
2)
y = -02 - 0 + 6 = 0 - 0 + 6 = 6, por lo que tienes el punto de corte: B(0,6).
Espero haberte ayudado.

¡Hola! Nos encantaría ayudarte, pero no solemos responder dudas universitarias que no tengan que ver específicamente con los vídeos que David Calle ha grabado como excepción. O de otras asignaturas que no sean Matemáticas, Física y Química. Lo sentimos de corazón… Esperamos que lo entiendas.
Ojalá algún unicoo universitario se anime a ayudarte (de hecho, lo ideal es que todos los universitarios intentarais ayudaros los unos a los otros).

Puedes plantear la tabla de verdad:
p q r p ∨ (q ∧ r) ⇔ (p ∨ q) ∧ (p ∨ r)
V V V V V V V V V
V V F V F V V V V
V F V V F V V V V
V F F V F V V V V
F V V V V V V V V
F V F F F V V F F
F F V V F V F V V
F F F F F V F F F.
Observa los valores de verdad remarcados, que coinciden en toda la tabla, por lo que tienes una tautología.
Espero haberte ayudado.
1er paso)) Dar valores correspondientes a las variables enunciativas. El número de filas serán 2nºde variables. En nuestro caso son 3 variables p,q,r; entonces 23= 8 filas
p ∨ (q ∧ r) ≡ (p ∨ q) ∧ (p ∨ r)
V V V V V V V
V V F V V V F
V F V V F V V
V F F V F V F
F V V F V F V
F V F F V F F
F F V F F F V
F F F F F F F
2º paso)) Dar valores correspondientes a las columnas de las conectivas terciarias (entre paréntesis).
La atribución veritativa de la conjunción: ν ∧ (V,V)≡V, ν ∧ (V,F)≡F, ν ∧ (F,V)≡F, ν ∧ (F,F)≡F,
La atribución veritativa de la disyunción: ν ∧ (V,V)≡V, ν ∧ (V,F)≡V, ν ∧ (F,V)≡V, ν ∧ (F,F)≡F,
Entonces queda:
(Ten en cuenta que el símbolo ≡ es el de equivalencia lógica, que a su vez equivale al bicondicional)
p ∨ (q ∧ r) ↔ (p ∨ q) ∧ (p ∨ r)
V V V V V V V V V V
V V F F V V V V V F
V F F V V V F V V V
V F F F V V F V V F
F V V V F V V F V V
F V F F F V V F F F
F F F V F F F F V V
F F F F F F F F F F
3er paso)) Dar valores correspondientes a las columnas de las conectivas secundarias (la columna en blanco de la izquierda y la de la derecha).
En la izquierda haremos la disyunción entre la columna de "p" y la columna terciaria en el anterior paso.
En la derecha haremos la conjunción entre las dos columnas terciarias obtenidas en el anterior paso.
p ∨ (q ∧ r) ↔ (p ∨ q) ∧ (p ∨ r)
V V V V V V V V V V V V
V V V F F V V V V V V F
V V F F V V V F V V V V
V V F F F V V F V V V F
F V V V V F V V V F V V
F F V F F F V V F F F F
F F F F V F F F F F V V
F F F F F F F F F F F F
4º paso)) Dar valor correspondiente a las columnas de la conectiva principal.
Atribución veritativa de la bicondicional (o coimplicador) : ν ∧ (V,V)≡V, ν ∧ (V,F)≡F, ν ∧ (F,V)≡F, ν ∧ (F,F)≡V
p ∨ (q ∧ r) ↔ (p ∨ q) ∧ (p ∨ r)
V V V V V V V V V V V V V
V V V F F V V V V V V V F
V V F F V V V V F V V V V
V V F F F V V V F V V V F
F V V V V V F V V V F V V
F F V F F V F V V F F F F
F F F F V V F F F F F V V
F F F F F V F F F F F F F
Si todos los valores obtenidos son V(Verdaderos) entonces las dos expresiones serían iguales en "cualquiera de los mundos posibles" y estaremos hablando de que efectivamente es una tautología (= lógicamente equivalentes). Estaría comprobado nuestro enunciado mediante tabla de verdad.