Buenas! Alguien me podría explicar porqué en el ejercicio 99 apartado a del video de radicales;
Resultado: a elevado a 1/3

Por lo que se puede apreciar en el archivo al que conduce tu enlace, el ejercicio 099 a) esta bien desarrollado.
Vamos con más detalles por si te resulta útil.
Página 28.
099 a)
√( a * √(a) ) = √( a1 * 2√(a1) ) = √( a1 * a1/2 ) = √( a1+1/2 ) = √( a3/2 ) = 2√( a3/2 ) = ( a3/2 )1/2 = a(3/2)*(1/2)= a3/4.
Espero haberte ayudado.
Reciban un cordial saludo, tengo dudas sobre fracciones complejas 128/8/2/1/2/4 y 72/3/2/6/1/2, la primera fracción 128/8/2/1/2/4 la resolví me dio 4 me surgió la duda cuando la trate de comprobar con tres softwares de matemáticas (Photomath, Algebrator, Microsoft mathematics ) alojan como resultado 16, no si estoy mal en mi resultado o los programas están mal lo dudo mucho pero me pueden explicar gracias.
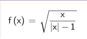
Hola por favor que alguien me ayude a encontrar el Recorrido de esta función:
el Dom es ]-1,0]∪]1,∞[
La solución es Rec(f) = [0,∞]
Porfavor alguien me puede explicar paso a paso como es que da ese Rec.
Hola, ¿podrían ayudarme con este problema?
El barco A está a 30 millas del punto O a medianoche y se dirige hacia el Oeste a 15 mi/h. El barco B está a 20 millas al Norte de O a medianoche y se dirige hacia el Sur a 15 mi/h. Calcular cuándo están más cercanos los dos barcos entre sí y calcular esa distancia mínima.

¡Hola! Nos encantaría ayudarte, pero no solemos responder dudas universitarias que no tengan que ver específicamente con los vídeos que David Calle ha grabado como excepción. O de otras asignaturas que no sean Matemáticas, Física y Química. Lo sentimos de corazón… Esperamos que lo entiendas.
Ojalá algún unicoo universitario se anime a ayudarte (de hecho, lo ideal es que todos los universitarios intentarais ayudaros los unos a los otros).
Hola unicoos.. Tengo la siguiente situación y no se como se resuelve. Me pueden ayudar?
Un bolso contiene 3 monedas, una de las cuales tiene dos caras mientras que las otras dos son normales y no sesgadas. Se escoge una moneda al azar del bolso y se lanza cuatro veces la moneda extraída. Si resultó cara las cuatro veces, ¿cual es la probabilidad de que ésta sea la moneda de dos caras?
Desde ya muchas gracias por toda su ayuda.
Hola buenas tardes!!!
Soy antigua alumna de David, (14 años después necesito tu ayuda Deivid, hahahhaha!!!). En resumen, oposito. Y cuando hago ejercicios de contabilidad a veces tengo que averiguar el tipo de interés efectivo. PUES NOSÉ HACERLO!! POR ESA TONTERÍA ME CARGO TODO EL EJERCICIO QUE ES EL 25% DEL EXAMEN. ya que no puedo hacer después las tablas ni los asientos. Siempre es una cosa así lo que hay que resolver. Más o menos, por ejemplo:
970000 = [ 80000 *( (1- (1+i)-4 )/ i) ] + [1000000*(1+i)-4]
Ya está. Osea es muy fácil y yo sabía hacerlo. Pues ahora no sé hacerlo. Osea nosé resolver una simple incógnita porque hay divisiones y potencias. vaya tela!!! Nosé si tu Deivid o alguien más lleva esta página contigo. Pero resolvérmelo porfi.
pdt: Me da mucha alegría poder seguir contando contigo y me siento muy orgullosa de ti. Un beso!!! ahh!!! soy Marta. (el dúo Carmen y Marta jajajjajajaja!!! )

:D Hola Martita!!!! :D :D :D
Mi duda es ¿el exponente es negativo? ¿-4?...
En ese caso, en vez de escribir (1+i)-4 sería mejor escribir 1/(1+i)4
Y te quedará.... 97 = [ 8((1- 1/(1+i)4)/ i) ] + [100/(1+i)4] Pasando a comun denominador,,, 1- 1/(1+i)4
97 = 8[(1+i)4- 1]/(i .(1+i)4 ) + 100/(1+i)4 .......Pasando a comun denominador de nuevo...
97 = 8[(1+i)4- 1]/(i. (1+i)4 ) + 100i /(i. (1+i)4)
97 = [8(1+i)4- 8 + 100i] /(i. (1+i)4) .... 97i .(1+i)4= 8(1+i)4- 8 + 100i ... Y te tocará seguir desarrollando... Espero te sirva para seguir...