
No me cuadran los datos del enunciado con la solución que aporta Antonio, pues y no debería ser menor de 40 -ya que dice que debe aprovecharse toda la esquina-. Por tanto, debe ser y>=40.
Los cálculos que ha hecho Antonio con respecto a la función S(x) nos pueden servir de referencia para observar que el máximo se alcanza en x=35 (de hecho, es una parábola invertida). Por consiguiente, si vamos disminuyendo el valor de x, el área también disminuye. Es obvio que habrá que disminuir x lo mínimo para conseguir que y=40 (y que el área siga siendo máxima dentro de lo posible).
Resumiendo, debemos rehacer los cálculos de la siguiente manera:
y=40
80=x+(x-20) + 40 -> x=30
Por tanto, el área máxima es 30·40=1200 pies2.
Gracias Antonio, Aleking. Yo resolví de la misma forma que Antonio antes de enviar mi pregunta, pero al buscar la respuesta en el solucionario me aparecía que las dimensiones deben ser 20x50. Pensé que era un error de la guía, pero ahora estoy más confundida jaja.
Anthony eliminé la pregunta porque conseguí resolverla antes de que alguien me respondiera, igual muchas gracias ^_^
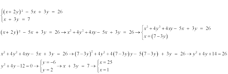
¿Alguien me puede explicar como hacer este sistema de ecuaciones?
(x + 2y)² - 5x + 3y = 26
x + 3y = 7

Restas 3y en ambos miembros de la segunda ecuación, y queda:
x = 7 - 3y (1).
Luego, sustituyes la expresión señalada (1) en la primera ecuación, y queda:
(7-3y + 2)2 - 5(7-3y) + 3y = 26;
luego, reduces términos numéricos en el agrupamiento, y queda:
(9-3y)2 - 5(7-3y) + 3y = 26;
luego, desarrollas el binomio elevado al cuadrado en el primer término, distribuyes en el segundo término, y queda:
81 - 54y + 9y2 - 35 + 15y + 3y = 26;
luego, haces pasaje de término, reduces términos semejantes, ordenas términos, y queda:
9y2 - 36y + 20 = 0,
que es una ecuación polinómica cuadrática, cuyas soluciones son:
a)
y1 = 2/3, reemplazas en la ecuación señalada (1), resuelves, y queda: x1 = 5;
b)
y2 = 10/3, reemplazas en la ecuación señalada (1), resuelves, y queda: x2 = -3.
Espero haberte ayudado.

Vale el desarrollo del colega César, y el mío anterior tiene un error, porque al sustituir la expresión señalada (1) en la primera ecuación queda:
(7-3y + 2y)2 - 5(7-3y) + 3y = 26, reduces términos numéricos en el agrupamiento, y queda:
(7 - y)2 - 5(7-3y) + 3y = 26, desarrollas el binomio elevado al cuadrado, distribuyes el segundo miembro, y queda:
49 - 14y + y2 - 35 + 15y + 3y = 26, haces pasaje de término, reduces términos semejantes, ordenas términos, y queda:
y2 + 4y -12 = 0, resuelves la ecuación polinómica cuadrática, y queda:
y1 = -6, al que corresponde: x1 = 25;
y2 = 2, al que corresponde: x2 = 1.
Ahora sí, disculpa la errata, y espero haberte ayudado.

Observa que te preguntan por un subespacio de dimensión 3, por lo que necesitas una base de tres vectores lienamente independientes.
Luego, observa que en el primer conjunto generador tienes que el primer vector es igual a la suma del segundo con el doble del tercero, por lo que el conjunto tiene dos vectores linealmente independientes, y genera un subespacio de dimensión dos.
Luego, observa que en el segundo conjunto generador tienes que el primer vector es igual a la resta del segundo con el tercero, por lo que el conjunto tiene dos vectores linealmente independientes, y genera un subespacio de dimensión dos.
Luego, plantea la expresión de un elemento genérico del subespacio generado por el cuarto conjunto:
p(x) = a2 + a3*x + a2*x2 + a3*x3,
ordenas términos, asocias y extraes factores comunes según los coeficientes, y queda:
p(x) = a2*(1+x2) + a3*(x+x3),
luego, tienes que con los dos elementos remarcados se puede expresar como combinación lineal a cualquier elemento del conjunto y, como los elementos remarcados son linealmente independientes, tienes que el conjunto genera un subespacio de dimensión dos.
Luego, solo queda que pruebes que los tres elementos del tercer conjunto son linealmente independientes, y tienes probado que el conjunto genera un subespacio de dimensión tres, incluido en el espacio vectorial R2*2.
Espero haberte ayudado.
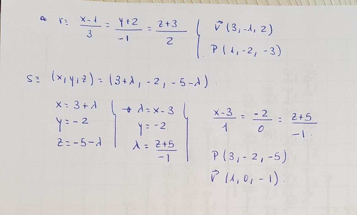
Hola Unicoos
El apartado a) sé hacerlo y el b) también pero, para hacer el apartado b) de dónde saca el punto P y el plano para resolverlo? No lo entiendo. Y no sé por qué saca el P (0,0,0) en el apartado b)
Me podrían aclarar un poco todo del apartado b)
Muchas gracias
Buenas, alguien sabe como calcular el resto de peano? (Polinomios de Taylor)
En wikipedia sale algo pero he encontrado muy poca cosa... https://es.wikipedia.org/wiki/Teorema_de_Taylor
Yo se lo que es el residuo de Lagrange para polinomios de Taylor, pero por lo que he leído el resto de peano no es exactamente lo mismo... Si por casualidad te interesa también te dejo un link del residuo de Lagrange. https://www.youtube.com/watch?v=mZNUtp9Kryc
.
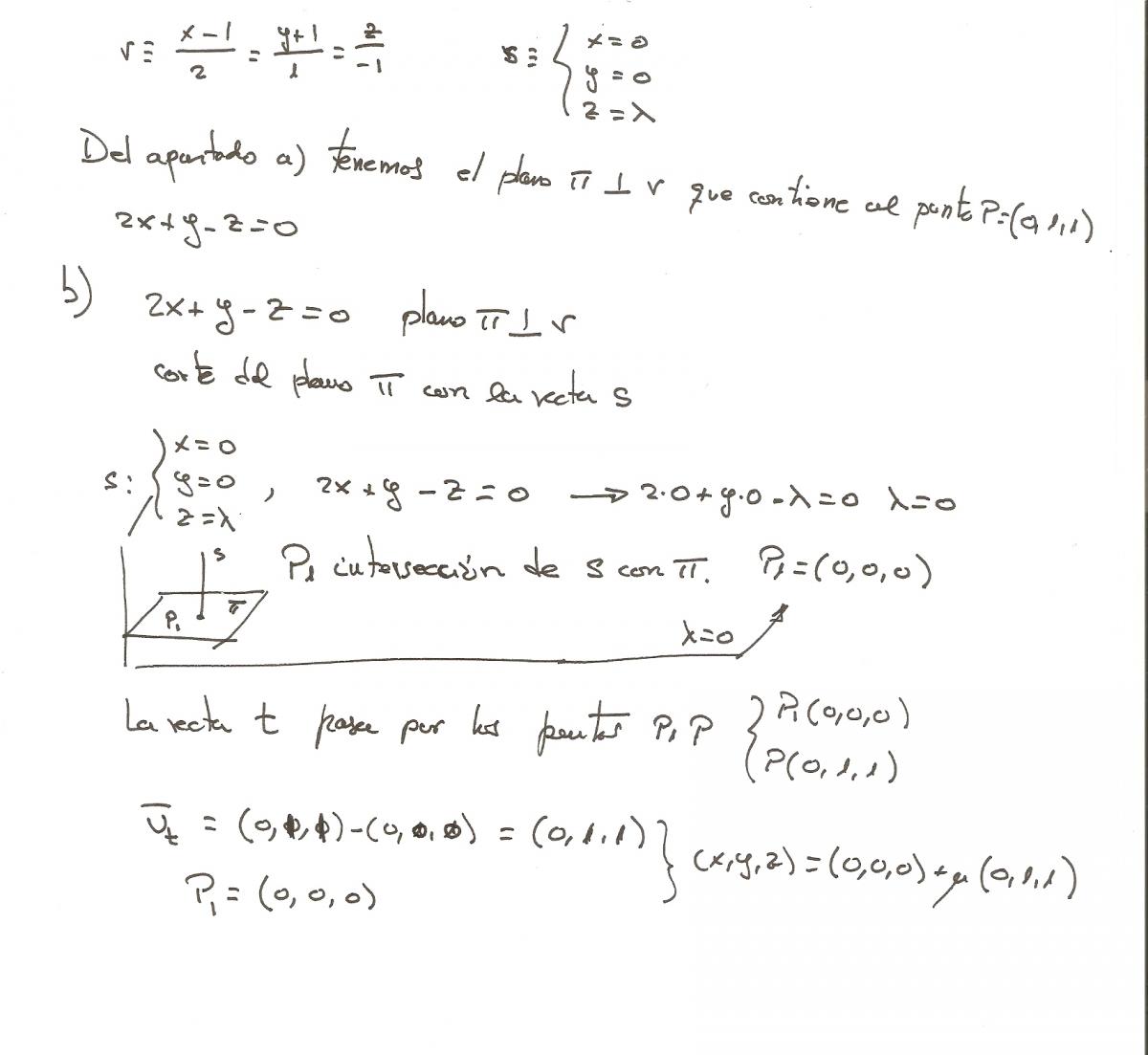
Hola unicos. Están bien sacados los puntos y vectores de estas rectas? La expresión -2/0 es correcta? Gracias anticipadas. ![]()
Buenas Carmela,
Los vectores y los puntos de las rectas son correctos, sin embargo como comentabas la expresión -2/0 es una indeterminación y no debería escribirse así.
Cuando en la ecuación paramétrica te dan algo como y = - 2 esto es como decir y = -2 + 0λ . Simplemente significa que 'y' tendrá valor -2 en toda la recta. También sabemos que la coordenada 'y' del vector será 0.
En tu caso, para pasar la recta a ecuación contínua simplemente juntamos 'x' i 'z'. Quedaría algo así:
(x-3)/1 = (z+5)/-1 , y = - 2
La ecuación implícita sería así:
-x - z - 2 = 0
y + 2 = 0
Saludos unicoos, alguien me podría ayudar con los siguientes ejercicios me pase mucho tiempo intentando y me quedan dudaspor favor. Son los ejercicios 8 y 9.
8)
Primero averiguamos el recorrido que ha hecho la partícula des de (0, 0, 5) hasta (2, -1, 0). Por lo tanto creamos la siguiente ecación:
(2, -1, 0) = (0, 0, 5) + x(1, 0, 0) + y(1, 1, 0) + z(1, 1, 1)
2 = x + y + z
-1 = y + z
-5 = z -----------> -1 = y -5 ---> y = 4 -----------> 2 = x + 4 - 5 ----> x = 3
Suponemos que el orden en que la partícula ha seguido los vectores es respectivamente el orden del enunciado y que solo lo ha hecho en un sentido, por lo tanto la partícula ha recorrido 3 veces el (1,0,0), 4 veces el vector (1,1,0) y -5 veces el vector(1,1,1). (Date cueta que esto es como recorrer el vector (-1,-1,-1) 5 veces.
Para que la partícula haya pasado por el punto (6, 3, 5) tenemos algunas opciones.
Ahora vamos con el punto (6, 3, 5):
(6, 3, 5) = (0, 0, 5) + x(1, 0, 0) + y(1, 1, 0) + z(1, 1, 1)
6 = x + y + z
3 = y + z
0 = z -----------> 3 = y + 0 ---> y = 3 ------------> 6 = x + 3 + 0 ---> x = 3
La partícula recorre 3 veces por el vector (1,0,0) , 3 veces el vector (1,1,0) y 0 veces el vector (1,1,1).
Entonces la partícula si que pasa por el putno (6,3,0).