En la demostración de la derivada del logaritmo que he preguntado antes no he entendido este último paso:
Hola, hoy me ha surgido la duda de cómo demostrar que la derivada de un logaritmo sea (1/n) y he encontrado algo por Internet pero no entiendo un paso (señalado en rojo en la foto), por favor, ¿pueden explicármelo?
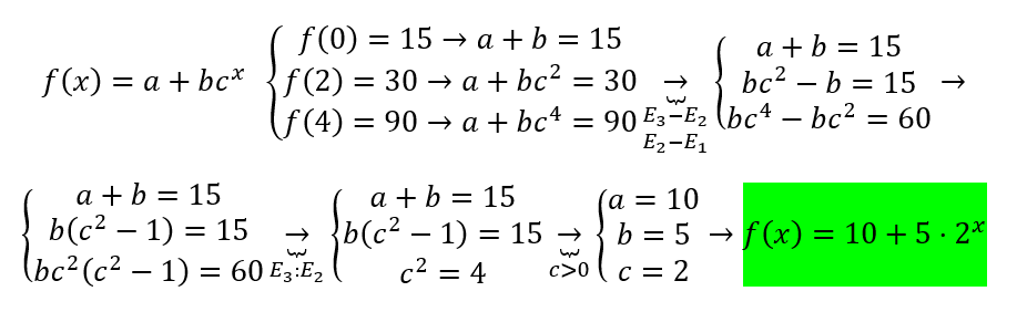
Buenas, alguien me puede explicar por favor, como resolver el siguiente ejercicio: Encontrar la funcion de la forma f(x)=a+bc^x, c>0 si f(0)=15, f(2)=30 y f(4)=90, pero el exponente me amarga la vida y no logro obtener la respuesta que debe de ser debe de dar R//f(x)=10+5(2^x) :(
Hola, ¿pueden ayudarme con una duda que me ha surgido hoy usando la notación científica? La planteo en la foto que voy a pasar, estoy seguro de que es una tontería bastante grande pero querría resolverla... Gracias

Si sustituyes las paramétricas de la recta en el plano, te has de fijar que no se verifica la igualdad para NINGÚN valor del parámetro.
Por tanto, no hay punto de intersección. La recta es paralela al plano.
La distancia de la recta al plano coincide con la distancia de uno de sus puntos al plano.
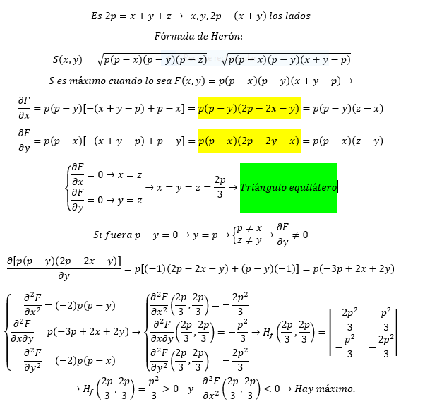
Me podrían ayudar a resolver este ejercicio por favor. Gracias
Sea z= -3-3i. Encuentre z102