hola Unicoos ¿me podeis ayudar con este problema?
lo he intentado hacer varias veces y no me sale de ninguna de las formas
Dados los puntos A(3, -2) y B(5, 4):
- Halla la ecuación general de la recta r que pasa por A y B
- Halla la mediatriz del segmento AB
- Halle el punto simétrico del punto B respecto del A
- Halla el valor de K para que los puntos A, B y P(3, K) estén alineados
Gracias de antemano
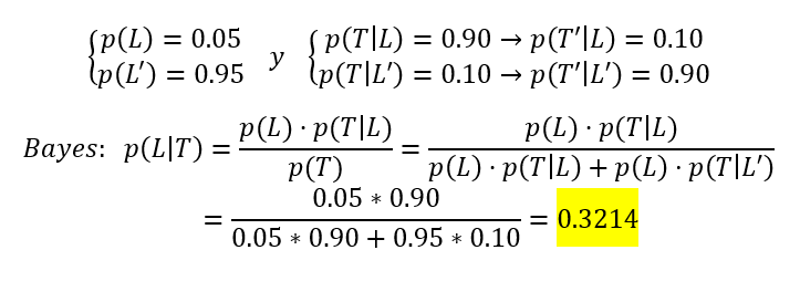
Los alumnos de un colegio se van de excursión al campo el próximo domingo, sin embargo el hombre del tiempo ha predicho que lloverá ese día. se sabe, de predicciones anteriores, que cuando llueve, el hombre del tiempo predice el 90% de las veces.Mientras cuando que cuando no llueve, predice lluvia el 10% de las veces. si sabemos que a la zona que van los alumnos llueve el 5% de los días.¿cuál es la probabilidad de que llueva ese domingo?
Hola.
En ese ejercicio, a la hora de calcular los máximos y mínimos, si igualo a 0 f'(x) el resultado me da 1 y -1. Sin embargo si igualo a 0 el denominador para ver posibles puntos en los que ls función no es derivable, me da los mismos resultados (1 y -1). Con lo cual si sustituyo por alguno de esos 2 números obtengo 0/0.
En definitiva me está diciendo que en 1 y -1 existen máximos o mínimos y a la vez que son puntos en los que la función nl es derivable.
¿Que interpretación le puedo dar a eso a ls hora de representar?
Muchas gracias.
Un saludo.

Completamos.
Has planteado bien la expresión de la función derivada primera, pero debes hacer precisiones al momento de simplificarla.
Observa que tienes que simplificar raíces cuadradas con potencias de exponente dos, y en ese caso debes tener en cuenta que te queda al final el valor absoluto del argumento:
√(u2) = |u|;
por lo que tienes en la expresión de la función derivada:
√( (1+x2)2 ) = |1+x2| = observa que el argumento es positivo = 1+x2;
√( (1-x2)2 ) = |1-x2| = y aquí tienes dos opciones:
-(1-x2) si x < -1 o x > 1,
1-x2 si -1< x < 1.
Luego, tienes que la expresión de la función derivada no está definida para x = -1 y x =1, y queda expresada:
f ' (x) =
-2/(1+x2) si x ∈ (-∞,-1) ∪ (1,+∞),
2/(1+x2) si x ∈ (-1,1),
y observa que la expresión del primer trozo toma valores negativos y, por lo tanto, tienes que la gráfica de la función es decreciente en los intervalos correspondientes,
y observa que la expresión del segundo trozo toma valores positivos y, por lo tanto, tienes que la gráfica de la función es creciente en el intervalo correspondiente.
Espero haberte ayudado.
¡Hola! Nos encantaría ayudarte, pero no solemos responder dudas universitarias que no tengan que ver específicamente con los vídeos que David Calle ha grabado como excepción. O de otras asignaturas que no sean Matemáticas, Física y Química. Lo sentimos de corazón… Esperamos que lo entiendas.
Ojalá algún unicoo universitario se anime a ayudarte (de hecho, lo ideal es que todos los universitarios intentarais ayudaros los unos a los otros).

Puedes plantear la parametrización de la superficie:
x = u,
y = v,
z = √(R2-u2-v2),
con el recinto paramétrico (R): u2+v2≤R2.
Luego, tienes la función vectorial de posición para los puntos de la superficie semesférica:
r(u,v) = < u , v , √(R2-u2-v2) >;
luego, planteas sus derivadas parciales primeras, y quedan:
ru = < 1 , 0 , -u/√(R2-u2-v2) >,
rv = < 0 , 1 , -v/√(R2-u2-v2) >.
Luego, planteas el producto vectorial entre las dos derivadas parciales, y queda:
ru x rv = < u/√(R2-u2-v2) , v/√(R2-u2-v2) , 1 >;
luego, su módulo queda:
|ru x rv| = √( u2/(R2-u2-v2) + v2/(R2-u2-v2) + 1 ) = √( (u2+v2+R2-u2-v2)/(R2-u2-v2) ) =
= √( R2/(R2-u2-v2) ) = R/√(R2-u2-v2) = (1).
Luego, tienes la función de densidad de masa, cuya expresión es:
m(x,y,z) = x2+y2, sustituyes las expresiones de x e y en función de los parámetros, y queda:
m(u,v) = u2+v2 (2).
Luego, puedes plantear para la masa de la superficie semiesférica:
MS = ∫∫S m(x,y,z)*dS = desarrollas la integral de superficie, y queda:
= ∫∫R m(u,v)*|ru x rv|*du*dv = sustituyes las expresiones señaladas (1) (2), y queda:
= ∫∫R (u2+v2)*( R/√(R2-u2-v2) )*du*dv = y puedes continuar la tarea,
y observa que debes plantear el cambio a coordenadas polares (ten precaución, porque la resolución es extensa):
u = r*cosθ,
v = r*senθ,
con 0≤r≤R, 0≤θ≤2π,
y con el factor de compensación (jacobiano): |J| = r.
Haz el intento de concluir la tarea, y si te resulta necesario no dudes en volver a consultar.
Espero haberte ayudado.

¡Hola! Nos encantaría ayudarte, pero no solemos responder dudas universitarias que no tengan que ver específicamente con los vídeos que David Calle ha grabado como excepción. O de otras asignaturas que no sean Matemáticas, Física y Química. Lo sentimos de corazón… Esperamos que lo entiendas.
Ojalá algún unicoo universitario se anime a ayudarte (de hecho, lo ideal es que todos los universitarios intentarais ayudaros los unos a los otros).
Antes de nada la norma que tiene un infinito la voy a escribir así: ||x||3
Demostrar la primera desigualdad:
Demostrar los dos primeros elementos de la desigualdad:
Antes de nada saber que si tenemos a y b positivos, 1: si a < b entonces a² < b² y 2: (a² + b² + ...+ y² + z²) < (a + b + ... + y + z)².
Elevamos al cuadrado ||x||2 y ||x||1 entonces nos queda ∑ xi2 y (∑ |xi|)². Por el teorema anterior (que es muy fácil de demostrar), se cumple el enunciado ||x||2 < ||x||1
Demostrar el segundo y tercer término de la desigualdad:
Procedemos igual que antes, elevamos al cuadrado ||x||1 y √N*||x||2 entonces nos queda (∑ |xi|)² y N*∑ xi2 . Y aquí me he quedado jajaja. Si más tarde se me ocurre lo pondré.
Demostrar la última desigualdad:
Sean xi los elementos de x y sea 'a' el elemento máximo. Entonces ||x||3 = 'a', sin embargo ||x||1 = ∑[1→n] |xi| = |x1|+...+|a| +...+ |xN|. En el peor de los casos, si todos los elementos de esta suma excepto 'a' son 0, el resultado será igual que ||x||3 , en cualquier otro caso el resultado será ||x||1=|a|+b, donde b es un número real > 0.
Luego si 'a' es el elemento máximo, N*||x||3 = N*a = ∑[1→n] a. En el mejor de los casos, todos los elementos de x serán igual que 'a', entonces ||x||1= ∑[1→n] a = ||x||3. Sin embargo, si un solo elemento es más pequeño que 'a', ||x||1 < ||x||3 .
Demostrar la segunda desigualdad:
Los dos primeros términos los podrás demostrar si te lees la demostración de la tercera desigualdad.
Para el segundo y tercer término, eleva al cuadrado, y tras pensarlo te quedará ∑[1→n] x² <= ∑[1→n] a²
Hola unicoos, tengo problema para resolver el sigueinte problema de probabilidad:
Durante el mes de noviembre, la probabilidad de llover es de 0,3 y se sabe que el equipo de futbol A gana un partido en un dia de lluvia con probabilidad 0,4 y en un día sin lluvia con probabilidad de 0,7. Si el equipo A ganó un partido en noviembre. ¿Cual es la probabilidad de que lloviera ese día?
Pueden ayudarme?
Hola Federico:
Usando el teorema de bayes:
https://www.vitutor.com/pro/2/a_17.html
Suceso A = que llueva. Pr(A) = 0.3. Suceso ~A = que no llueva. Pr(~A) = 0.7
Suceso B = que el equipo gane
Pr(A|B)? <-- Probabilidad que llueva si el equipo gana.
Pr(A|B) = (Pr(B|A)*Pr(A)) / (Pr(B|A)*Pr(A) + Pr(B|~A)*Pr(~A)) = (0.4*0.3) / (0.4*0.3 + 0.7*0.7) = 0.12/0.61 = 12/61
A)
El área del triángulo blanco es igual a (x*6)/2
Por lo tanto el área coloreada será el área del cuadrado menos el área del triángulo: 6*6 - x*6/2 = 36-3x. Respuesta g
B)
Este lo hacemos calculando el área de uno de los 4 triángulos.
Este área es (6*x)/2. Por lo tanto el área coloreada será 4*3x = 12x. Respuesta e.
C)
En este calculamos primero el área de un triángulo blanco.
La base es 6-x, y la altura es claramente la mitad del costad, por lo tanto 6/2=3. Por lo tanto el área coloreada = 6*6 - (2 * ((6-x)*3/2)) = 18 + 3x . Respuesta c.
D)
Este piénsalo tu que con los que he hecho seguro que te sale! pista: El área coloreada es el área del cuadrado menos el área de los dos triángulos. Es la respuesta d.