
1)
Con cifras repetidas.
Observa que dispones de los dígitos: 0, 2, 4, 5, 8, 9, y observa que el enunciado no indica que las cifras deban ser distintas.
Luego, observa que tienes dos opciones para elegir la última cifra (0 o 5).
Luego, observa que tienes cinco opciones para elegir la primera cifra: (2, 4, 5, 8, 9).
Luego, observa que tienes seis opciones para elegir la segunda cifra (0, 2, 4, 5, 8, 9).
Luego, por el principio de multiplicación, tienes en total:
N1 = 5*6*2 = 60 números posibles.
2)
Con cifras todas distintas, tienes dos clases de números:
a)
con 0 como última cifra:
Na = 5*4*1 = 20;
b)
con 5 como última cifra (recuerda que 0 no puede ser la primera):
Nb = 4*4*1 = 16
Luego, por el principio de adición tienes en total:
N2 = Na + Nb = 20 + 16 = 36 números posibles.
Observa que tu enunciado no indica que las cifras deban ser distintas, por lo que tu respuesta es correcta, y consulta con tu docente por las dudas él se refiera a números con cifras diferentes.
Espero haberte ayudado.
No me deja pegar la foto.
Lo que he hecho fue:
z= senx
2z2 +(4 -√3)z -2√3= 0
Llegué a:
Δ=19+8√3
LUEGO DE ESTO NO PUEDO CONTINUAR

Muchas gracias César. Ya hice el razonamiento gracias a que tu me diste las raíces. Utilicé los datos de la suma de las raíces es igual a el opuesto del coeficiente "b" dividido el coeficiente "a" y, el producto de las raíces es igual al coeficiente "c" dividido el coeficiente "a" y no tuve que desarrollar la fórmula de segundo grado ni el radical. Gracias nuevamente!!
Hola a todos.
Pregunta general sobre integrales definidas. ejercicio de tipo "calcula el área entre dos funciones". ¿Puede dar el área de una superficie negativa?
Gracias por vuestra atención.

El resultado de una integral definida puede dar un número negativo, pero puede ser que ese numero no sea lo que vos estas buscando en aplicación física, como en la obtención de áreas, volúmenes o masas. Esta en cada uno interpretar el resultado... Puede ser que pusiste las funciones invertidas (cuando es función techo menos función piso, y pusiste al revés) o pusiste al revés los extremos de integración en esos casos tendrás que cambiar el signo (si dio negativo lo pones positivo explicando que sino seria físicamente imposible) y listo... Pero si tomas "mal" los extremos de integración el resultado estará mal sin importar el signo.
Espero que te haya servido, si queres pasame el problema y lo vemos
Saludos!
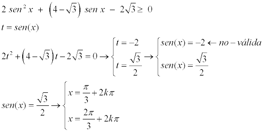
2sen2x+(4√3)sen x - 2√3 ≥ 0
hice cambio de variable z=sen x Trabajé con la fórmula de la ecuación de segundo grado y
llegué a que debajo del radical me da :19+8√3 y a partir de ahí no sé cómo continuar para obtener las raíces de la ecuación y así obtener el signo y la respuesta. Si me pueden colaborar , gracias.