Foro de preguntas y respuestas de Matemáticas

logo beUnicoos
Los foros de unicoos se han unificado en nuestra nueva plataforma beUnicoos. Para dejar nuevas preguntas deberás hacerlo allí, donde además podrás encontrar nuevas asignaturas y herramientas para ayudarte más con tus estudios.

  • icon

    Pablo Hernán Juca
    el 22/3/18
    flag

    Buenos tardes ayuden con estos dos eejercios por favor, gracias 


    replythumb_up0 voto/sflag
    icon

    Antonius Benedictus
    el 22/3/18

    ¡Hola! Nos encantaría ayudarte, pero no solemos responder dudas universitarias que no tengan que ver específicamente con los vídeos que David Calle ha grabado como excepción. O de otras asignaturas que no sean Matemáticas, Física y Química. Lo sentimos de corazón… Esperamos que  lo entiendas.

    Ojalá algún unicoo universitario se anime a ayudarte (de hecho, lo ideal es que todos los universitarios intentarais ayudaros los unos a los otros).

    thumb_up0 voto/sflag
  • icon

    Lsslie
    el 22/3/18

    Holaa, me pueden ayudar con esta integral porfaa: ∫ x4 / √(1-x10)  Gracias !!!

    replythumb_up0 voto/sflag
    icon

    Antonio Silvio Palmitano
    el 22/3/18

    Puedes plantear la sustitución (cambio de variable):

    x5 = w (*), de donde tienes:

    5*x4*dx = dw, de donde tienes: x4*dx = (1/5)*dw,

    y también tienes:

    x10 = (x5)2 = w2.

    Luego, sustituyes, extraes el factor constante, y la integral de tu enunciado queda:

    I = (1/5) * ∫ ( 1/√(1-w2) )*dw = (1/5)*arcsen(w) + C;

    luego, sustituyes la expresión señalada (*), y queda:

    I = (1/5)*arcsen(x5) + C.

    Espero haberte ayudado.


    thumb_up0 voto/sflag
    icon

    Lsslie
    el 22/3/18

    Gracias !! Pero porque x5 ?? Que otro cambio de variable podría hacer ??? 

    thumb_up0 voto/sflag
  • icon

    Daniela Sánchez
    el 22/3/18

    Hola soy estudiante de 2º de bachillerato,

    Me estoy planteando estudiar la carrera de matemáticas y me gustaría saber la opinión de algún estudiante que la este cursando. ¿Es muy difícil?

    Un saludo, gracias :)

    replythumb_up1 voto/sflag
    icon

    Guillem De La Calle Vicente
    el 22/3/18

    Buenas Daniela!

    Si te estás planteando estudiarla y tienes ganas, pues adelante!!! Las matemáticas son un mundo apasionante! A lo mejor te estás preguntando si serán unos estudios demasiado abstractos, o si te gustarán después de todo. Incluso puedes dudar de tu capacidad porque sientes muchas veces que es tan difícil... Es normal tener dudas sobre qué estudiar. Te quiero hablar de una parte de las matemáticas que a lo mejor has visto poco en el instituto, pero que es tan o más interesante como estas. Lo más importante es el razonamiento matemático. Estudiando matemáticas se piensa y se razona mucho. Y se piensa sobre cosas distintas a las que tratan el resto de la gente, y a un nivel muy abstracto. Lo que se hace es construir una teoria matemática que se sustenta por misma: hay algunos axiomas que se toman como base, y a partir de aquí se construyen teoremas que llevan a otros resultados y a propiedad interesantes. Todo y esto, estas propiedades son también muy abstractas, todo y que algunas de estas tienen aplicaciones en el mundo real. Si te implicas en los estudios de matemáticas, no te tiene que importar cuál es la aplicación de forma inmediata. Te tiene que gustar razonar para razonar. Te tiene que gustar pensar sobre aspectos complicados y en superarse porque no conozco a nadie que lo entienda todo a la primera. Si tienes excelentes notas de bachillerato, lo más probables es que algunos días no entenderas nada, y al final del curso respiraras tranquilo si consigues aprobar jejeje. Pero no pasa nada jeje. Es cuestion de trabajar mucho, no rendirse y de saber que entenderas cosas que la mayoria de los mortales no entienden, por tanto tendras muchas salidas laborales. Si te gusta más la aplicación al mundo real, planteate estudiar una ingenieria o estadísitca.

    Saludos.

    thumb_up2 voto/sflag
    icon

    Daniela Sánchez
    el 22/3/18

    Hola Guillem

    Muchas gracias por la info, me has aclarado algunas dudas :D

    Graciass :*

    thumb_up0 voto/sflag
    icon

    Guillem De La Calle Vicente
    el 22/3/18

    Si tienes más dudas ponlas, estaré encantado de responderte.

    Saludos!


    thumb_up1 voto/sflag
    icon

    lbp_14
    el 23/3/18

    Hola Daniela, te gustan las matemáticas? Esque yo también estoy en 2ºBach y nose si hacer esa carrera o economía, o cosas relacionadas con matemáticas ya que estoy en ciencias de la salud. Me interesa hablar con estudiantes como vosotros para saber un poco qué carreras elegiríais.

    Un saludo

    thumb_up1 voto/sflag
  • icon

    Laura Viñuela
    el 22/3/18

    Me podéis ayudar con estos ejercicios por favor 

    replythumb_up0 voto/sflag
    icon

    César
    el 22/3/18


    thumb_up0 voto/sflag
  • icon

    Natalia Figueroa Uslar
    el 22/3/18


    replythumb_up0 voto/sflag
    icon

    Antonius Benedictus
    el 22/3/18

    icon

    Natalia Figueroa Uslar
    el 22/3/18

    Estimado Profesor Antonio, antes de mandar mi pregunta ya había visto ambos vídeos y aún así no pude resolver el problema, es por eso que recurrí al foro, ¿qué más puedo hacer?

    thumb_up0 voto/sflag
    icon

    Antonio Silvio Palmitano
    el 22/3/18


    Observa que hemos indicado en forma directa en el diagrama:

    Cantidad total de lactantes atendidos: |U| = 14000,

    Cantidad de vacunados contra la hepatitis: |H| = 2420,

    Cantidad de vacunados contra la varicela: |V| = 5080,

    Cantidad de vacunados contra la fiebre: |T| = 6100,

    Cantidad de vacunados contra la hepatitis y la varicela, pero no contra la fiebre: 30,

    Cantidad de vacunados contra la hepatitis y la fiebre, pero no contra la varicela: 50,

    Cantidad de vacunados contra la hepatitis solamente: |h| = a determinar,

    Cantidad de vacunados contra la varicela solamente: |v| = a determinar,

    Cantidad de vacunados contra la fiebre solamente: |t| = a determinar,

    Cantidad de vacunados contra la varicela y la fiebre, pero no contra la hepatitis |x| = a determinar,

    Cantidad de vacunados contra las tres enfermedades: |y| = a determinar,

    Cantidad de pacientes que no recibieron vacuna: z = a determinar.

    Luego, observa que tienes algunas relaciones más en tu enunciado:

    Vacunados contra la varicela y la fiebre: x + y = 50 (1),

    Vacunados contra la hepatitis pero no contra la varicela: h + 50 = 2350 (2),

    Vacunados contra la hepatitis: h + y + 50 + 30 = 2420 (3),

    Vacunados contra la varicela: v + x + y + 30 = 5080 (4),

    Vacunados contra la fiebre: t + x + y + 50 = 6100 (5),

    Cantidad de lactantes atendidos: h + v + t + x + y + z + 30 + 50 = 14000 (6).

    Luego, observa que con las ecuaciones señaladas (1) (2) (3) (4) (5) (6) tienes el sistema de seis ecuaciones lineales de primer grado, con seis incógnitas (observa que hemos operado para reducir expresiones numéricas en algunas de las ecuaciones):

    x + y = 50 (1),

    h = 2300 (cantidad de vacunados solo contra la hepatitis),

    h + y = 2340 (3*),

    v + x + y = 5050 (4*),

    t + x + y = 6050 (5*),

    h + v + t + x + y + z = 13920 (6*).

    Luego, reemplazas el valor remarcado en las ecuaciones señaladas (3*) (6*), operas, y el sistema queda:

    x + y = 50 (1),

    y = 40 (cantidad de vacunados contra las tres enfermedades),

    v + x + y = 5050 (4*),

    t + x + y = 6050 (5*),

    v + t + x + y + z = 11620 (6**)

    Luego, reemplazas el valor remarcado en las demás ecuaciones, operas, y queda:

    x = 10 (cantidad de vacunados contra la varicela y la fiebre, pero no contra la hepatitis),

    v + x = 5010 (4**),

    t + x = 6010 (5**),

    v + t + x + z = 11580 (6***).

    Luego, reemplazas el valor remarcado en las demás ecuaciones, operas, y queda:

    v = 5000 (cantidad de vacunados solo contra la varicela),

    t = 6000 (cantidad de vacunados solo contra la fiebre),

    v + t + z = 11570 (6****).

    Luego, reemplazas los valores remarcados en la última ecuación, operas, y queda:

    z = 570 (cantidad de lactantes que no recibieron vacuna).

    Espero haberte ayudado.

    thumb_up0 voto/sflag
  • icon

    ViRR
    el 22/3/18

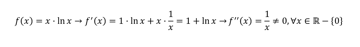
    Buenas tardes, ¿cuál sería el punto de inflexión de la siguiente función?

    • f(x) = x ln x

    ¡Muchas gracias!

    replythumb_up0 voto/sflag
    icon

    Antonius Benedictus
    el 22/3/18

    No lo hay:


    thumb_up0 voto/sflag
  • icon

    Eliana
    el 22/3/18

    Hola,quisiera un poco de orientación necesito efectuar varios ejercicios de posición  relativas de dos rectas 

    Secantes,paralelas,coincidentes.por ejemplo debo de averiguar la posición relativa de las siguientes rectas

    A) r:2X-Y-1=0 ; s:2X+Y+1=0

    Otro ejercicio

    B) r: Y=3X+1 ; s: 6X-2Y+1=0

    Gracias

    replythumb_up0 voto/sflag
    icon

    Antonius Benedictus
    el 22/3/18

  • icon

    kitsune
    el 22/3/18

    Hola, soy nueva a la plataforma y no encuentro los ejercicios resueltos. Donde los puedo encontrar? Y la teoría esta solo en vídeos o también en formato escrito?

    replythumb_up0 voto/sflag
    icon

    Antonius Benedictus
    el 22/3/18

    En material adicional, debajo de cada vídeo.

    thumb_up1 voto/sflag
  • icon

    Juan José
    el 22/3/18

    me pueden ayudar con la integral de 1 sobre x al cuadrado por la raíz cuadrada de x al cuadrado menos 7 dx 

    replythumb_up0 voto/sflag
    icon

    Antonius Benedictus
    el 22/3/18

    Sube foto del enunciado original,  por favor.

    thumb_up0 voto/sflag
  • icon

    Francisco Javier Rodriguez Moya
    el 22/3/18

    Como me preparo para la prueba de selectividad de la UNED en matematicas, fisica que  temas se ven y me manden ejercicios para resolverlos gracias


    replythumb_up0 voto/sflag
    icon

    Antonius Benedictus
    el 22/3/18

    Creo que esa pregunta la has de dirigir a la propia UNED y a sus funcionarios, reclamándoles los programas y el material didáctico necesario.  Nosotros te proporcionamos vídeos explicativos de muchos asuntos del Currículo de ESO y Bachillerato, y te ayudamos en las dudas que te puedan surgir. Y hasta ahí podemos llegar. Un saludo, Francisco.

    thumb_up1 voto/sflag