Hola alguien puede ayudarme con este problema de probabilidad. En una población con un alto grado de aislamiento y endogamia en la que el 57% son mujeres, se ha estimado la presencia de deficiencias psíquicas en un 12% de los individuos. El 46% de las mujeres tienen Rh- y el 15% son deficientes. El 8% de la población son deficientes y presentan Rh-. 5.1 ¿Qué proporción de la población son mujeres con Rh-? 5.2 ¿Qué proporción de la población son mujeres deficientes? 5.3 ¿Cuál es la proporción de Rh+ entre los deficientes?. 5.4 Supóngase que la probabilidad de Rh- entre los hombres es 0.46. ¿Qué se puede afirmar en cuanto a la asociación entre grupo Rh y sexo?.

(Por cierto el Rh negativo o positivo afecta a la sangre. Existen los grupos A, B, O, AB y luego está el Rh, que puede ser positivo o negativo en cada uno de los grupos)
Primero ordenamos un poquito:
5.1: Proporción de la población son mujeres con Rh-
Primero controlamos que porcentaje de la población son mujeres, y luego que porcentaje de las mujeres tienen Rh-. Entonces:
Población femenina con Rh- = 0.57 * 0.46 = 0.26
Por lo tanto el 26% de la población son mujeres con Rh-
5.2: Qué proporción de la población son mujeres deficientes
Primero controlamos que porcentaje de la población son mujeres, y luego que porcentaje de las mujeres tienen alguna deficiencia. Entonces:
Población femenina con deficiencia = 0.57 * 0.15 = 0.08
Por lo tanto el 8% de la población son mujeres con deficiencia.
5.3: Cuál es la proporción de Rh+ entre los deficientes:
Cogemos estos dos datos:
Como bien sabemos, si no eres Rh- eres Rh+.
Por lo tanto en total hay un 12% de la población con deficiencia, y un 8% además de deficiencia son Rh-. El porcentaje con Rh+ será 12-8 = 4%
5.4:
| RH+ | RH- | |
| HOMBRE | 0.54 | 0.46 |
| MUJER | 0.54 | 0.46 |
| POBLACIÓN | 0.54 | 0.46 |
La distribución o proporción de Rh y sexo es la misma entre hombres y mujeres. Por lo tanto también es la misma en el global de la población
Si tomamos el dato obtenido del apartado 5.1 para las mujeres con Rh-, que es 0.26 (entonces las de Rh+ serían 1-0.26= 0.74) y el dato que nos dan en el 5.4 la tabla de contingencia quedaría así:
| SEXO \\\ TIPO RH | RH+ | RH- |
| MUJERES | 0.74 | 0.26 |
| HOMBRES | 0.54 | 0.46 |
A primera se podría concluir el sexo de un individuo influye en su RH (en otras palabras, el RH está asociado con el sexo)
Significativamente lo observas en el caso de las mujeres.
**Para una verificación más seria (excede el nivel de bachiller) tendrías que hacer una contrastación estadística de relación de dependencia para variables cualitativas https://www.uam.es/personal_pdi/economicas/eva/pdf/tab_conting.pdf
El valor de Chi cuadrado te hará rechazar o admitir la hipótesis de dependencia.
No entiendo el apartado numero 3 --> es decir, en este caso no te estarian pidiendo una probabilidad condicionada :sabiendo que es deficiente el porcentaje con factor rh+? Yo lo había planteado como que la probabilidad de que sabiendo que es deficiente tenga rh- es 0.08 y por lo tanto la probabilidad de que sabiendo que es deficiente tenga factor rh+ es 1-0.08= 0.92
Hola soy David y tengo 11 años. Por favor, ¿podéis ayudarme con el resultado de este problema? A mí me da 30 metros, ¿es correcto? Muchas gracias por vuestra ayuda.
Un submarinista que hace trabajos de reparación en una plataforma petrolífera situada a 6 metros sobre el nivel del mar.
-Primero tiene que bajar 20 metros para dejar el material que va a utilizar.
-Baja 12 metros más para realizar la primera soldadura.
-Cuando termina sube 8 metros para reparar la segunda tubería.
-Cuando termina sube a la plataforma.
¿Sabes cuántos metros ha subido en su último desplazamiento hasta la plataforma?
No es correcto.
6-20-12+8 = -18 metros está la segunda tubería (que es lo mismo que 18 metros bajo el nivel del mar)
La plataforma petrolífera situada a 6 metros sobre el nivel del mar = +6 metros (sobre el nivel del mar) está la plataforma
Entonces para hacer el último desplazamiento tiene que subir 18 metros para llegar al nivel del mar y otros 6 para llegar a la plataforma: 18+6 = 24 metros
((te recomiendo que lo hagas sobre el papel y te imagines que eres tú mismo subiendo y bajando en un gran ascensor))
Hola. Tengo que rendir. Alguien me puede ayudar. Es sobre derivadas. Paso un modelo de examen
1) Hallar la funcion derivada de x=x(t)=3^√sin(t+1)^2
2)Dos moviles, A y B se desplazan sobre una misma recta, sus respectivas ecuaciones de movimiento son
A: x=x1 (t)= 1.5t^2 -5t -4
B: x=x2 (t)= 0.5t^2 -t -1
a) determine el instante en que ambos moviles tienen la misma velocidad
b)determine la posicion y la acelaracion de cada movil en ese mismo instante.
3) cual es el comportamiento de esta funcion cuando la variable independiente crece indefinidamente?
f:R:R/y= f(x)= 10-e^-x.
Intente hacerlos pero no tengo como sacarme las dudas. Por favor. Ayudenme. Solicito ayuda aca porque una vez me ayudaron. Espero su pronta respuesta
1)
x(t)=3^(√(sin(t+1)2)) = 3sin(t+1) metros
v(t)= ln3* 3sin(t+1) *cos(t+1) segundos
2)
Si quieres saber cuándo estarán en el mismo punto tienes que igualar x1=x2 para hallar t ayudándote de la fórmula de resolución para ecuaciones de 2º grado.
1.5t^2 -5t -4 = 0.5t^2
1.5t^2 -0.5t^2 -5t -4 = 0
t^2 -5t -4 = 0
Obtienes:
t1= 5.70156 segundos (supongo que la unidad que usas es la habitual en el Sistema Internacional, segundos)
t2= -0.70156 (de momento el tiempo negativo carece de sentido, por lo que esta solución no vale)
3)
f(x)= 10-e-x = 10- (1/ex)
¿cual es el comportamiento de esta funcion cuando la variable independiente crece indefinidamente?
lim(x→∞) f(x)=
lim(x→∞) ( 10- (1/ex) ) =
( 10- (1/einfinito) ) =
10- (1/∞) =
10 - 0 =
10
Observa que si el valor de la variable x crece indefinidamente tiende al valor 10, esto es, si representas la función f(x) gráficamente tendrás una asíntota horizontal en y=10
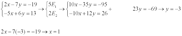
me podéis decir como resolver este sistema por el método de reducción
2x-7y=-19
-5x+6y=13
2x-7y= -19
-5x+6y=13
Multiplicamos la primera ecuación por 5 y la segunda ecuación por 2:
10x-35y= -95
-10x+12y=26
Sumamos las dos ecuaciones y obtenemos:
-23y=-69
Despejamos y:
y=-69/(-23) = 3
Sustituimos y=3 en cualquier ecuación del sistema original de ecuaciones (al principio en negrita)
2x-7*3= -19
Efectuamos operaciones y despejamos el valor de y:
2x-21= -19 -----> 2x= -19+21 -----> 2x=2 -----> x=1