
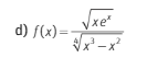
Observa que tienes una división entre funciones, por lo que puedes plantear las expresiones del numerador y del denominador por separado, y también las expresiones de sus funciones derivadas, para luego aplicar la regla de derivación de la división entre dos funciones.
Para el numerador, tienes:
N = √(x*ex) = (x*ex)1/2 = x1/2*(ex)1/2= x1/2*ex/2,
y la expresión de su derivada primera queda:
N ' = (1/2)*x-1/2*ex/2 + x1/2*(1/2)*ex/2 = (1/2)*x-1/2*ex/2*(1 + x) = (1/2)*(1+x)*x-1/2*ex/2.
Para el denominador, tienes:
D = 4√(x3 - x2) = (x3 - x2)1/4 = ( x2*(x - 1) )1/4 = (x2)1/4*(x - 1)1/4= x1/2*(x - 1)1/4.
y la expresión de su derivada primera queda (observa que debes aplicar la regla de derivación de una multiplicación de funciones):
D ' = (1/2)*x-1/2*(x - 1)1/4 + x1/2*(1/4)*(x - 1)-3/4 = (1/4)*x-1/2*(x - 1)-3/4*(2*(x - 1) + x) = (1/4)*x-1/2*(x - 1)-3/4*(3x - 1) = (1/4)*(3x - 1)*x-1/2*(x - 1)-3/4.
Luego, queda que apliques la regla de derivación de una división de funciones, ya que tienes:
f(x) = N/D,
por lo que la expresión de su función derivada queda:
f ' (x) = [( N ' )*D - N*( D ' )] / D2,
y solo queda que sustituyas las expresiones remarcadas del numerador, del denominador, y de sus derivadas, para luego reducir todo a su mínima expresión (te dejo la tarea).
Espero haberte ayudado.
Hola, no sé por donde empezar con esta integral:

¿Podéis echarme una mano? Gracias.

¡Hola! Nos encantaría ayudarte, pero no solemos responder dudas universitarias que no tengan que ver específicamente con los vídeos que David Calle ha grabado como excepción. O de otras asignaturas que no sean Matemáticas, Física y Química. Lo sentimos de corazón… Esperamos que lo entiendas.
Ojalá algún unicoo universitario se anime a ayudarte (de hecho, lo ideal es que todos los universitarios intentarais ayudaros los unos a los otros).
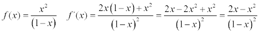
Buenas, la solución de la derivada de x^2 / 1-x es -x^2 + 2x / (x-1)^2 pero a mi en el denominador me da (1-x)^2 . Me ayudais?? No se en que es lo que fallo. Graciasss

Además, observa que los denominadores a los que te refieres son equivalentes, pues tienes:
(x - 1)2 = (1 - x)2;
luego, desarrollas los binomios elevados al cuadrado para verificar, y queda:
x2 - 2x + 1 = 1 - 2x + x2,
que es una identidad verdadera entre expresiones polinómicas.
Espero haberte ayudado.
Buenas, pueden ayudarme con este ejercicio: Aplica el teorema del valor medio a la función f(x) = -x^2 + 2x - 8 en el intervalor [-3,3] e interpretalo geometricamente. Graciaaas