Foro de preguntas y respuestas de Matemáticas

logo beUnicoos
Los foros de unicoos se han unificado en nuestra nueva plataforma beUnicoos. Para dejar nuevas preguntas deberás hacerlo allí, donde además podrás encontrar nuevas asignaturas y herramientas para ayudarte más con tus estudios.

  • icon

    Angel Garcia Curela
    el 11/2/18

     como hago esta integral? 

    replythumb_up0 voto/sflag
    icon

    Antonius Benedictus
    el 11/2/18

    Utiliza esto:


    thumb_up0 voto/sflag
  • icon

    David Ru
    el 11/2/18

    Hola , tengo una duda con un problema que me ha surgido en la vida real , tengo una pérgola  la cual quiero cerrar con tablones de madera , la pergola mide de largo 4,3 metros , los tablones miden de largo 2,5 metros , la pergola mide de ancho 10 metros y los tablones 10 cm , de que forma tengo que cortar los tablones para hacer un uso lo más provechoso posible de los mismos , y cuántos de estos he de comprar ? ,  he estado pensando no se si se haría con una ecuación diofántica , o tratarla de otro modo , alguien podría decirme que modelo matemático usar 

    replythumb_up0 voto/sflag
    icon

    Ángel
    el 12/2/18

    Pérgola----> 43dm x 100dm = 4300 dm2

    Tablón-----> 25dm x 1dm= 25 dm2

    Nº tablones en una pérgola= 4300 ÷ 25 = 172 tablones tienes que comprar


    Cuando tengas 172 tablones, tendrás que proceder así:

    *Sólo tienes que hacer cortes de 1 dm, "perfectamente" horizontales, todas las tablas usadas tienen 1dm de largo

    1) 100 tablones los montas directamente sin cortar y cubres 2500 dm2

    2) Los otros 72 tablones los cortas (divides) y sacas 72 piezas de 18 dm de largo y 72 piezas pequeñas de 7 dm de largo

    3) Montas las 72 piezas de 18 dm2 junto los 100 tablones enteros y ya tienes cubiertos  2500+(18*72) =  2500+1296= 3796 dm2

    4) Montas 56 piezas de las 72 piezas pequeñas de 7 dm de largo, dos en cada fila. (ya tienes cubiertos 4188 dm2 de los 4300 dm2)

    5) Te quedan 16 piezas de 7 dm de largo y un hueco de 4 dm de largo y 28 dm de ancho

    6) Cortas las 16 tablas obteniendo 16 de 4 dm de largo, las cuáles colocas y te quedan 16 tablillas de 3 dm y un hueco 4 dm de largo y 12 de ancho (cubiertos 4252 dm2)                     

    7) Pones 12 tablillas de 3 dm de largo (te queda un hueco de 12 de ancho y uno de largo y 4 tablillas de 3dm2)

    8) Cortas las 4 tablillas en 3 trozos de 1dm x 1 dm, obtienes 12 trozos y completas la pérgola.


    En resumen: utilizas 100 tablones de 25dm de largo, 72 de 18dm, 56 de 7dm, 16 de 4dm, 12 de 3 dm y 12 de 1dm


    thumb_up1 voto/sflag
  • icon

    Adrian
    el 11/2/18

    Buenas tardes, aqui esta el enunciado original .


    replythumb_up0 voto/sflag
    icon

    Antonius Benedictus
    el 11/2/18

    Si (a,b,c)·(3,4,6)=0, esto es: 3a+4b+6c=0, cualquier plano del tipo ax+by+cz=0  puede valer.

    thumb_up1 voto/sflag
  • icon

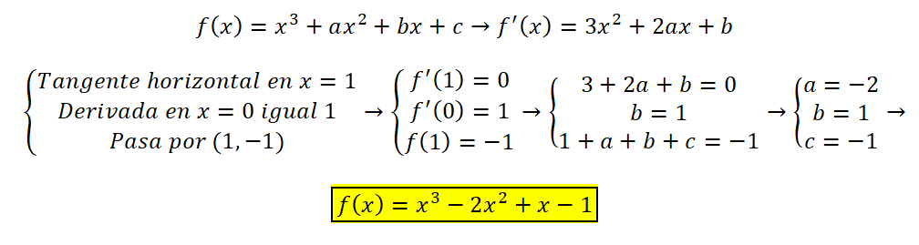
    Lsslie
    el 11/2/18

    Buenas, me pueden ayudar con este ejercicio: Halla a, b y c en f(x) = x^3 + ax^2 + bx + c de modo que la gráfica de f(x) tenga tangente horizontal en x=1, su derivada en x=0 valga 1 y pase por el punto (1,-1). Graciaaas

    replythumb_up0 voto/sflag
    icon

    Antonius Benedictus
    el 11/2/18


    thumb_up0 voto/sflag
  • icon

    M
    el 11/2/18

    Hola!! Como calcularía este limite aplicando l'Hopital??

    lim→0 (Ε^x -  E^-x -2x)÷(x-senx)

    replythumb_up0 voto/sflag
    icon

    Antonius Benedictus
    el 11/2/18

    Pon foto del enunciado original, por favor.

    thumb_up0 voto/sflag
    icon

    M
    el 11/2/18


    thumb_up0 voto/sflag
    icon

    Antonius Benedictus
    el 11/2/18


    thumb_up0 voto/sflag
  • icon

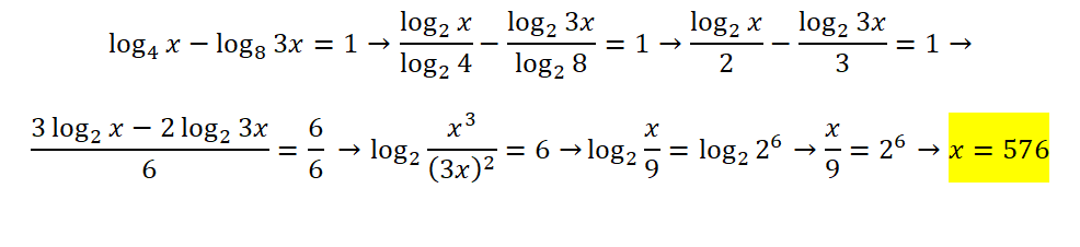
    Diego Schwindt
    el 11/2/18

    Cambié las bases, pero no llego al resultado final.

    replythumb_up0 voto/sflag
    icon

    Antonius Benedictus
    el 11/2/18


    thumb_up1 voto/sflag
  • icon

    Adrian
    el 11/2/18

    Buenos días, me pide 'proponer la ecuación del plano perpendicular a P:3x+4y+6z-12=0 que pase por el origen'

     R:Ax+By×Cz+Z=0 

    p (0,0,0)  como puedo seguir , se que el producto de los vectores normales tiene que ser igual a cero pero no llegó a nada. 

    replythumb_up0 voto/sflag
    icon

    Antonius Benedictus
    el 11/2/18

    Pon foto del enunciado original, Adrián. Hay infinitos planos que satisfacen esa condición.

    thumb_up1 voto/sflag
    icon

    Adrian
    el 11/2/18

    Es que el profesor nos dicto ese problema.

    thumb_up0 voto/sflag
  • icon

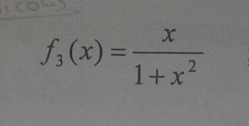
    Ashley
    el 11/2/18

    Hola! Tengo que calcular la monotonía y los extremos de esta función pero el dominio no me sale me podéis ayudar? ? Gracias


    replythumb_up0 voto/sflag
    icon

    Antonius Benedictus
    el 11/2/18

    El dominio es toda la recta real, pues el denominador nunca se anula.


    thumb_up0 voto/sflag