Hola, tengo una duda con un ejercicio de probabilidad, es este :
Se utiliza un código de tres letras, X, Y y Z, para construir palabras de distinta longitud.
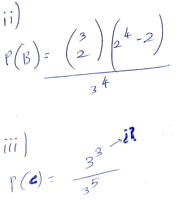
ii) Si se construyen palabras de 4 letras, hallar la probabilidad de que una palabra tenga exactamente dos letras distintas.
iii) Si se construyen palabras de 5 letras, hallar la probabilidad de que una palabra sea capicúa.
Yo lo que no entiendo son los últimos dos apartados, los hice pero los tenía mal, en la foto muestro la solución
En el apartado ii), el (2^4 -2) , se le resta 2 para descartar XXXX y YYYY ¿ no habría que restarle 3 para descartar también ZZZZ? ¿no habría que tener en cuenta también combinaciones como XYZX?, que tienen cuatro letras pero tienen tres letras distintas
En ese mismo apartado, (3
2) eso significa que tres letras combinadas de dos en dos no?
Con el respecto al apartado iii), para que la palabra sea capicúa, no entiendo por qué en el numerador se pone 3^3, si tenemos por ejemplo XY YX y tenemos un elemento mitad, no sería 3^2, no entiendo mucho este apartado
Gracias

1)
Observa que para formar palabras dispones de tres letras, de las que debes elegir 4, con orden y con repetición, por lo que la cantidad de palabras posibles es: N = 34 = 81.
Luego, puedes plantear la elección de palabras formadas por dos letras en etapas:
a)
Eliges las letras que formarán la palabra, y observa que debes elegir dos letras entre tres, por lo que la cantidad de elecciones posibles es: Na = C(3,2) = 3.
b)
Una vez elegidas las dos letras, observa que tienes dos clases de palabras posibles:
b1) Con una letra "triple" y otra "simple" (aaab, aaba, abaa, baaa, abbb, babb, bbab, bbba), y la cantidad de palabras es: Nb1 = 8;
b2) Con dos letras "dobles" (aabb, abab, abba, baab, baba, bbaa), y la cantidad de palabras es: Nb2 = 6;
luego, por el principio de adición, tienes que la cantidad de palabras formadas por dos letras distintas es: Nb = Nb1 + Nb2 = 8 + 6 = 14.
Luego, observa que por cada par de letras que has elegido en la etapa (a) tienes las opciones indicadas en la etapa (b),
por lo que por el principio de multiplicación, tienes que la cantidad de palabras formadas por dos letras distintas es: N1 = Na*Nb = 3*14 = 42.
Luego, la probabilidad de formar palabras de cuatro letras con dos letras solamente queda: p1 = N1/N = 42/81.
2)
Observa que la cantidad de palabras de cinco letras sin restricciones es: N = 35 = 243,
ya que tienes tres letras disponibles, de las que debes elegir cinco con repetición.
Observa que la forma de la palabra "capicúa" es: abcba, y observa que dos de las letras, o las tres letras, pueden ser iguales.
Luego, puedes plantear la formación de la palabra por etapas.
a)
Eliges la "primera y también quinta" letra, y la cantidad de elecciones posibles es: Na = 3.
b)
Eliges la "segunda y también cuarta" letra, y la cantidad de elecciones posibles es: Nb = 3.
c)
Eliges la "tercera" letra, y la cantidad de elecciones posibles es: Nc = 3.
Luego, observa que por cada elección que has hecho en la etapa a tienes todas las opciones de la etapa b, y luego todas las opciones de la etapa c,
por lo que por el principio de multiplicación, tienes que la cantidad de palabras capicúas de cinco letras es: N2 = 3*3*3 = 27.
Luego, la probabilidad de formar una palabra capicúa de cinco letras es: p2 = N2/N = 27/243 = 1/9.
Espero haberte ayudado.
Hola Unicoos, por favor me confirman si son correctas estas derivadas, me ha quedado una duda respecto a tangente y cotangente ya que aparecen iguales

a)
Observa que x e y deben tomar valores distintos de cero.
Luego, multiplicas por 3xy en la segunda ecuación, haces pasaje de término en la primera ecuación, y el sistema queda:
y = 2 - x (1)
3y + 3x = - 2xy;
luego, sustituyes la expresión señalada (1) en la segunda ecuación, y queda:
3(2 - x) + 3x = -2x(2 - x), distribuyes factores comunes, y queda:
6 - 3x + 3x = -4x + 2x2, cancelas términos opuestos en el primer miembro, haces pasajes de términos, y queda:
-2x2 + 4x + 6 = 0, divides por -2 en todos los términos de la ecuación, y queda:
x2 - 2x - 3 = 0,
que es una ecuación polinómica cuadrática, que tiene dos soluciones:
1)
x = -1, luego sustituyes en la ecuación señalada (1) y queda: y = 3;
2)
x = 3, luego sustituyes en la ecuación señalada (1) y queda: y = -1.
luego, tienes que el conjunto solución del sistema de ecuaciones queda expresado:
S = { (-1,3) , (3,-1) }.
Espero haberte ayudado.