Hola, como se resolvería el siguiente ejercicio:
Calcula la longitud del lado y de la apotema de un octógono regular inscrito en una circunferencia de 49 cm de radio.
Gracias de antemano
Hola. He estao toda la noche con este ejercicio y no consigo sacarlo. He obtenido el intervalo de convergencia pero me falta la función a la cual converge la serie. Gracias de antemano
Ejercicio 6

¡Hola! Nos encantaría ayudarte, pero no solemos responder dudas universitarias que no tengan que ver específicamente con los vídeos que David Calle ha grabado como excepción. O de otras asignaturas que no sean Matemáticas, Física y Química. Lo sentimos de corazón… Esperamos que lo entiendas.
Ojalá algún unicoo universitario se anime a ayudarte (de hecho, lo ideal es que todos los universitarios intentarais ayudaros los unos a los otros).
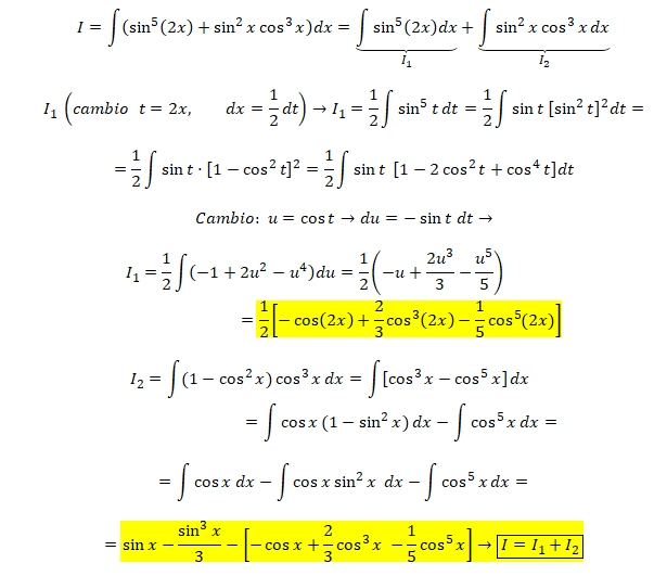
No logramos dar con la solución de este ejercicio si alguien nos lo puede hacer estaríamos agradecidos a poder ser por separado los apartados gracias nos urge
b)
g(x)=
(x2-4)/(x-2) si x ≠ 2
4 si x = 2
es equivalente a:
g(x)=
((x+2)*(x-2))/(x-2) si x ≠ 2
4 si x = 2
y simplificando nos queda:
g(x)=
x+2 si x < 2 ó x > 2
4 si x = 2
ES CONTINUA EN TODOS LOS REALES POR ESTAR COMPUESTA POR LA FUNCIÓN LINEAL x+2 (que por definición es continua) Y EL PUNTO x=4 (que coincide con los límites laterales)