Foro de preguntas y respuestas de Matemáticas

logo beUnicoos
Los foros de unicoos se han unificado en nuestra nueva plataforma beUnicoos. Para dejar nuevas preguntas deberás hacerlo allí, donde además podrás encontrar nuevas asignaturas y herramientas para ayudarte más con tus estudios.

  • icon

    Luis Ortega
    el 2/2/18

    Como se hace este?

    replythumb_up0 voto/sflag
    icon

    César
    el 2/2/18


    thumb_up0 voto/sflag
    icon

    Antonius Benedictus
    el 2/2/18


    thumb_up0 voto/sflag
  • icon

    Adela García
    el 2/2/18

    Me ayudan con estos ejercicios?

    1- Compara las longitudes de la hipotenusa y la altura sobre ella en un triangulo rectángulo isósceles cuyos catetos miden 4 cm. ¿Y si midieran 7 cm? Llama / a la longitud y generaliza.

    2- En un triángulo rectángulo, unos de los catetos mide 15 cm, y su proyeccion sobre la hipotenusa 10. Averigua el área y el perimetro

    replythumb_up0 voto/sflag
    icon

    Antonius Benedictus
    el 2/2/18

    Aquí tienes los resultados teóricos necesarios para resolver estos problemas:

    http://www.jorge-fernandez.es/proyectos/angulo/temas/temaf/index.html


    thumb_up0 voto/sflag
  • icon

    A. Q Torres
    el 2/2/18

    Me ayudan!? El valor de la incognita me da mal

    Lo preciso para el exámen :/


    replythumb_up0 voto/sflag
    icon

    Antonius Benedictus
    el 2/2/18


    thumb_up0 voto/sflag
    icon

    Antonius Benedictus
    el 2/2/18

    Quita la tilde de EXAMEN y pónsela a INCOGNITA. Sale lo comido por lo servido.

    thumb_up0 voto/sflag
  • Usuario eliminado
    el 2/2/18


    Alguno sabe como plantear esto? 

    replythumb_up0 voto/sflag
    icon

    Antonius Benedictus
    el 2/2/18


    thumb_up0 voto/sflag
    icon

    Antonius Benedictus
    el 2/2/18


    thumb_up0 voto/sflag
  • icon

    Diego Schwindt
    el 2/2/18

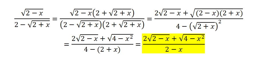
    Buen día, dejo este ejercicio de racionalización. Gracias!!

    replythumb_up0 voto/sflag
    icon

    Antonius Benedictus
    el 2/2/18


    thumb_up1 voto/sflag
  • Usuario eliminado
    el 2/2/18

    Alguien me explica como se gráfica una ecuación vectorial , manualmente sin computadoras, la que tengo que graficar es r(t)=(3-cos 2t, 2-sen 2t) 


    replythumb_up0 voto/sflag
    icon

    Antonius Benedictus
    el 2/2/18

    Es largo el asunto:

    http://personales.unican.es/alvareze/CalculoWeb/CalculoII/apuntes/curvasParametricas.pdf


    thumb_up0 voto/sflag

    Usuario eliminado
    el 2/2/18

    Una duda mas, en el ejemplo que puse yo, hice la eliminación del parámetro y me quedo una circunferencia de radio 1 con centro en (3,2), para saber la orientación, simplemente busco la imagen de dos puntos cualquiera y la trazo, o existe otro metodo? Slds y gracias desde ya


    thumb_up0 voto/sflag
  • icon

    Cristina Iglesias
    el 2/2/18

    necesito con urgencia el ejercicio 3 y 4 por favor


    replythumb_up0 voto/sflag

    Usuario eliminado
    el 2/2/18

    Podes hacer dos vectores, y con esos dos hacer el producto vectorial eso te da un vector que va a ser perpendicular al plano, con componentes (a,b,c), Recorda que la ecuacion del plano es ax+by+cz+d=0, donde (a,b,c), donde a,b,c son las componentes de un vector perpendicular al plano, y a d lo ajustas con un punto de paso. O podes usar las ecuaciones parametricas, en el pto 4 es un poco mas extenso, podes buscar "Analisis de funciones" en google

    thumb_up0 voto/sflag
    icon

    Cristina Iglesias
    el 2/2/18

    no entendí muy bien pero si me lo resuelves tal vez entienda mejor

    thumb_up0 voto/sflag
  • icon

    Alonso Marrufo
    el 2/2/18

    Alguien me podria ayudar con una tarea porque el maestro no explica solo pone los ejercicios 

    replythumb_up0 voto/sflag
    icon

    Antonius Benedictus
    el 2/2/18

    Expón esa tarea, Alonso.

    thumb_up0 voto/sflag
  • Usuario eliminado
    el 2/2/18

    Buenas noches, como realizó la realizo. Me quedo trabado al terminar de aplicar el método de Gauss.

    replythumb_up0 voto/sflag
    icon

    Antonius Benedictus
    el 2/2/18

    Sube foto del enunciado original.

    thumb_up0 voto/sflag
  • icon

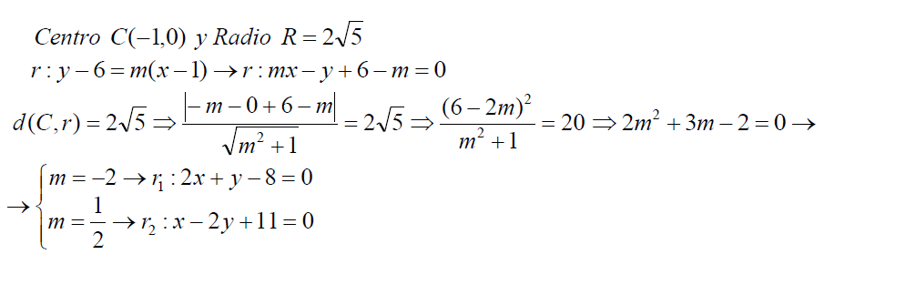
    A. Q Torres
    el 2/2/18

    Cómo hallo las ecuaciones de las tangentes a un circulo desde un punto exterior?? 

    replythumb_up0 voto/sflag
    icon

    Antonius Benedictus
    el 2/2/18

    Te lo muestro con un ejemplo:


    thumb_up0 voto/sflag