Foro de preguntas y respuestas de Matemáticas

logo beUnicoos
Los foros de unicoos se han unificado en nuestra nueva plataforma beUnicoos. Para dejar nuevas preguntas deberás hacerlo allí, donde además podrás encontrar nuevas asignaturas y herramientas para ayudarte más con tus estudios.

  • icon

    Marcos
    el 1/2/18

    Tengo una duda con otro ejercicio. Dice asi:
    Suponga que la dureza de Rockwell de cierta aleación está normalmente distribuida con media de 70 y desviación estándar de 3. ¿Cuál es la probabilidad de que a lo sumo ocho de diez especímenes seleccionados independientemente tengan una dureza menor de 73,84?

    Lo que tengo que hacer es calcular:
    1) p = P(X < 73,84)
    2) Después binomial B(10,p)
    3)  Y después? Al resultado que me dio multiplicarlo por 8? Es acá mi duda.

    replythumb_up0 voto/sflag
    icon

    Antonius Benedictus
    el 2/2/18

    Tienes que hallar p(B=9)+p(B=10)  usando la fórmula de la binomial.

    Y luego, efectuar la resta 1-(p(B=9)+p(B=10)).

    thumb_up0 voto/sflag
  • icon

    Alexander Peñaloza
    el 1/2/18

    Hola, disculpen me pueden ayudar con un ejercicio de algebra lineal. Gracias de antemano

    replythumb_up0 voto/sflag
    icon

    Antonius Benedictus
    el 1/2/18

    Pon foto del enunciado original, por favor.

    thumb_up0 voto/sflag
  • icon

    Martin
    el 1/2/18

    ¿Por qué la (I) no es verdadera?


    replythumb_up0 voto/sflag
    icon

    Antonius Benedictus
    el 1/2/18


    thumb_up0 voto/sflag
    icon

    Martin
    el 1/2/18

    Gracias por la respuesta, me quedan algunas dudas:

    No entendí muy  bien, porque según el cálculo que hiciste con T, "w - (u + v)" pertenece al núcleo de esa transformación. O sea, si el núcleo fuera distinto de el vacío entonces ese w - (u + v) también tendría que ser igual a algún otro elemento tal que ese elemento también sea parte del núcleo, lo cual no sería posible porque como "T(0) = 0" entonces "w - (u+v)" primero tiene que ser 0 y como es una función no puede ser igual a más nada por lo que "w = u + v", esto porque el Núcleo es vacío.

    Ahora, si el núcleo fuese no vacío y tengo T(w) = T(v) + T(u) también podría llegar a que T(w -[u+v]) = 0, esto significaría que "w - [u+v]" puede dar diferentes valores? ahí me perdí.

    thumb_up0 voto/sflag
    icon

    Antonius Benedictus
    el 2/2/18

    El núcleo de una transformación lineal nunca es vacío, siempre tiene al vector nulo, como mínimo. Los vectores del núcleo son los vectores del espacio inicial que se transforman mediante T en el vector nulo del espacio final.

    thumb_up0 voto/sflag
  • icon

    Jose manuel marquez guerrero
    el 1/2/18

    Alguien me podria explicar lor repartos proporcionale es urgente tengo un examen mañana por favor. Gracias 

    Soy de 3 de eso





    replythumb_up0 voto/sflag
    icon

    Jose manuel marquez guerrero
    el 1/2/18

    Gracias pero no entiendo donde me tengo que meter

    thumb_up0 voto/sflag
  • icon

    Jose Angel Diaz-Alejo Perea
    el 1/2/18

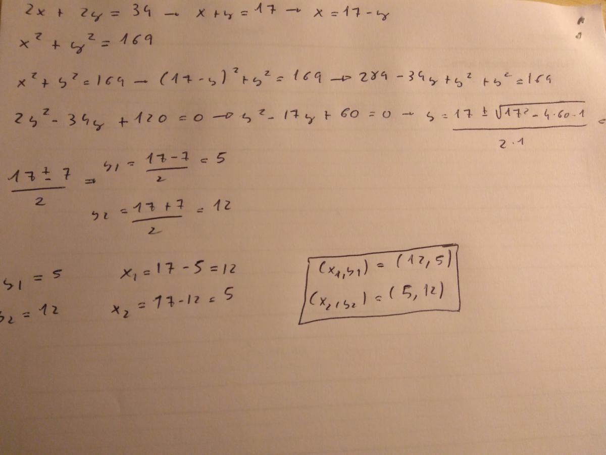
    Hola necesitaba ayuda urgente para este sistema de ecuaciones no lineal.

    2x + 2y= 34

    x² + y²= 169

    replythumb_up0 voto/sflag
    icon

    David Poyatos
    el 1/2/18

    Esta es la solución a tu ejercicio

    Espero haberte ayudado

    thumb_up2 voto/sflag
    icon

    Jose Angel Diaz-Alejo Perea
    el 1/2/18

    Aleluya!

    thumb_up0 voto/sflag
  • icon

    Martin
    el 1/2/18

    Hola, ¿los siguientes puntos son Verdaderos o Falsos?

    1) T(x,y) = (0,y) es lineal

    2) No puede haber una  transformación lineal donde dado v=(a,b,c), en T(v) alguno de los  a, b, c esté elevado a la 2

    3) En una transformación T, de V  a V, en caso de transformar a cada elemento de V en sí mismo,  tendrá a la matriz Identidad como matriz asociada siendo esta la Transformación Lineal Identidad.

    4) Una transformación T, de V  a V,  puede también transformar al menos un elemento de V en otro elemento distinto en V, esta transformación, siempre tendrá una matriz distinta a la matriz identidad como matriz asociada.

    5) Un operador lineal T: V --> V es siempre biyectivo

    replythumb_up0 voto/sflag
    icon

    Antonius Benedictus
    el 1/2/18

    1) Verdadero.

    2) Verdadero (las ecuaciones de las transformaciones lineales han de ser lineales y homogéneas).

    3) Verdadero.

    4) Verdadero.

    5) Falso.

    thumb_up0 voto/sflag
  • icon

    Mr. científico
    el 1/2/18

    Necesito ayuda urgente con este ejercicio. Algun alma caritativa puede ayudarme



    replythumb_up0 voto/sflag
    icon

    Antonio
    el 1/2/18

    opción c

    thumb_up0 voto/sflag
    icon

    Mr. científico
    el 1/2/18

    Necesito la demostracion, por favor

    thumb_up0 voto/sflag
    icon

    Antonio
    el 1/2/18

    Veamos si soy capaz !!!

    Sea a la distancia entre los vértices, es decir entre A y B

    Por un lado tenemos que el área del rectángulo de la figura es a·1 pues la base mide a y la altura 1 (radio de los círculos)

    por otro lado, calculemos esa área aplicando otra estrategia

    como la figura formada por P y uno de los R es un cuarto del círculo: (π·12)/4

    y hay que darse cuenta que dos de estas figuras es el rectángulo completo pues R+P = R+Q ya que P=Q

    por lo tanto el área del rectángulo es 2·(π·12)/4 = π/2

    e igualando las dos resultados a=π/2


    thumb_up0 voto/sflag
  • icon

    LUCIA ROLDAN HERNANDEZ
    el 1/2/18

    Holaaaa...alguien me podría ayudar? Tengo un problema de ecuaciones y no se como plantearlo....el problema dice lo siguiente:

    Juan ha leído ya la quinta parte de un libro. Cuando lea 90 páginas más, todavía le quedará la mitad del libro. ¿Cuántas páginas tiene el libro? ¿Cuántas páginas lleva leídas?

    replythumb_up0 voto/sflag
    icon

    Mr. científico
    el 1/2/18

    1/5*x + 90 = 1/2*x


    Siendo x el numero de paginas que tiene el libro

    thumb_up1 voto/sflag
  • icon

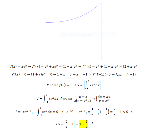
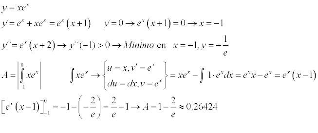
    Lore
    el 1/2/18









    Hola me preguntaba si alguien me podría resolver el ejercicio 4 y 6 de la foto. Muchas gracias.

    replythumb_up0 voto/sflag
    icon

    César
    el 1/2/18


    thumb_up0 voto/sflag
    icon

    Antonius Benedictus
    el 1/2/18


    thumb_up0 voto/sflag
  • icon

    Cristina Iglesias
    el 1/2/18

    necesito ayuda con esto 

    replythumb_up0 voto/sflag
    icon

    César
    el 1/2/18

    van los 2  primeros


    thumb_up0 voto/sflag