
se trata de que DESPUES DE IR A CLASE (ver los vídeos relacionados con
vuestras dudas) enviéis dudas concretas, muy concretas. Y que nos enviéis
también todo aquello que hayais conseguido hacer por vosotros mismos. Paso a
paso, esté bien o mal. No solo el enunciado. De esa manera podremos saber
vuestro nivel, en que podemos ayudaros, cuales son vuestros fallos.... Y el
trabajo duro será el vuestro. Nos cuentas ¿ok? #nosvemosenclase ;-)
Hola! Tengo una problema que no he podido resolver y es que uno debería suponer que uno está por repartir una pizza rectangular, pero la mitad de las personas quieren comer trozos de pizza con borde y la otra mitad quiere comer trozos de pizza que no tengan bordes y yo debería saber cuántas personas, mínimo, pueden comer la pizza de esta manera. Entonces yo creo que es un problema de optimización. Llegué a la conclusión de que la expresión que representa la cantidad de trozos con borde, digamos c, es igual a la suma de los lados a,b de la pizza menos cuatro para no contar doblemente las esquinas de la pizza, así c = 2a + 2b - 4. Y por razones obvias, la cantidad de pedacitos sin borde, digamos, s, sería el área total de la pizza menos los pedacitos con borde, así, s= ab - c. Al final, cuando reemplazo y obtengo una suerte de ecuación como esta -b^2 +2b=0. Pero por supuesto que hay un error ahí, porque cuando la derivo para obtener el unto mínimo de la función, me da que b=1, lo que significa que mi pizza rectangular debería se cortada como una matriz de 1x3 que no satisface las condiciones de mi problema. Agradezco si alguien me ayuda.
En un sistema de ecuaciones calcular C¹ y C²:
x(0)=1=C¹+C²
y(0)=1=3/4C¹-C²
Alguien me puede desarrollar como sacar el C¹? Yo lo que pensé es sumar:
C¹+C²
3/4C¹-C²
-------------
4/4C¹+3/4C¹= 7/4C¹=1 ( igualar a la ecuación x(0)=1)
Despejar C¹
C¹= 4/7
...pero en la solución me da que es C¹= 8/7 y no lo veo :(
Hola alguien podría decirme si está bien o mal resuelto el ejercicio
El doble de la cantidad de CDs que tiene María multiplicado por la cantidad de CDs que tendría si le regalaran 12 más, es 1610.
¿Cuántos CDs tiene María?

Hola! Me encantaría ayudarte, pero no respondo dudas universitarias que no tengan que ver específicamente con los videos que ya he grabado como excepcion. O de otras asignaturas que no sean matemáticas, física y química. Lo siento de corazón… Espero lo entiendas
Ojalá algun unicoo universitario se anime a ayudarte (de hecho lo ideal es que todos los universitarios intentarais ayudaros los unos a los otros)
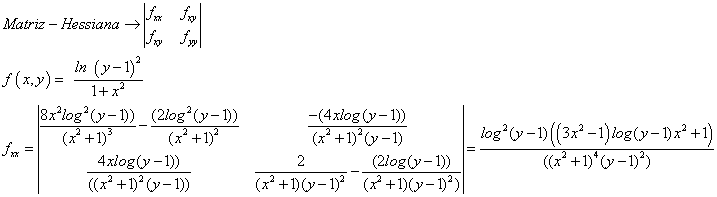
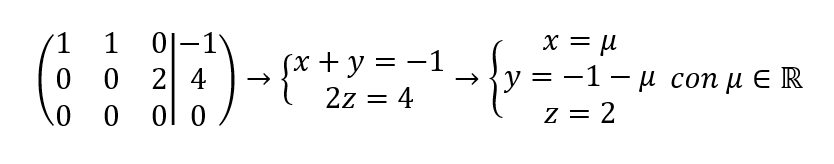
Buenas, me podrían realizar este sistema? Es que hay un momento en el caso para a=2 y b distinto de -3 me quedo bloqueado.