Hola, como puedo estudiar la continuidad, la derivabilidad i el máximo i minimo absoluto en el intervalo [-3,2] de la siguiente función? ![]()

Observa que la función es continua en x = -1 que pertenece al intervalo (plantea los límites laterales, y verás que son iguales a 4, que es el valor que toma la función en este punto, según la expresión del segundo trozo), por lo que tienes que la gráfica de la función alcanza máximo absoluto y mínimo absoluto en el intervalo cerrado[-3,2].
Luego, plantea la expresión de la función derivada (te dejo la tarea de justificar el valor para x = -1):
f ' (x) =
-2*x - 4 si -3 < x < -1 (observa que se anula para x = -2, que pertenece al subintervalo)
-2 si x = -1
2*x si -1 < x < 2 (observa que se anula para x = 0, que pertenece al subintervalo).
Luego, calcula los valores de la función en los extremos del intervalo (x = -3, x = 2), en el punto de corte entre trozos (x = -1), y en los puntos críticos (x = -2, x = 0):
f(-3) = -(-3)2 - 4*(-3) + 1 = -9 + 12 + 1 = 4,
f(-2) = -(-2)2 - 4*(-2) + 1 = -4 + 8 + 1 = 5,
f(-1) = (-1)2 + 3 = 1 + 3 = 4,
f(0) = (0)2 + 3 = 0 + 3 = 3,
f(2) = (2)2 + 3 = 4 + 3 = 7.
Por lo tanto, puedes concluir que la gráfica de la función alcanza:
Mínimo absoluto en x = 0, y el valor mínimo absoluto de la función es: f(0) = 3,
Máximo absoluto en x = 2, y el valor máximo absoluto de la función es: f(2) = 7.
Espero haberte ayudado.

La continuidad se estudia haciendo los limites laterales en el posible punto donde se puede producir una, es decir, en x=-1.
La derivabilidad estudiando las derivadas laterales.
Consultar: https://www.vitutor.com/fun/4/a_6.html
Y el mínimo y máximo absoluto lo debes estudiar separandolo en dos intervalos. Para el intervalo [-3, -1) la función seria -x^2-4x+1 estudias los puntos en que se encuentra un mínimo/maximo relativo y el valor que toma f(x) en x=-3 y x=-1 (podría ser un mínimo o máximo absoluto). Hacer lo mismo para el intervalo [-1, 2], donde la función seria x^2+3, y comprobar que no haya un máximo o mínimo en x=-1 y x=2.
¡Espero haberte ayudado!
Hola, el apartado b), ¿a qué base se refiere?. Yo en el apartado a) compruebo solamente si es un sistema libre y conjunto de generadores.
Ayuda por favor con la pregunta numero 5, no logro entender bien lo que me pide. Por favor y gracias aca dejo la foto.

Sea v un vector director de la recta buscada .
n1 y n2 los vectores normales a los planos dados.
v es perpendicular a n1 = (3 , -1 , 2)
v es perpendicular a n2 = (2 , 2 , -3)
Luego v es perpendicular tanto a n1 como n2 y se puede obtener como el producto vectorial v = n1 x n2
con ello ya tienes vector director y punto de paso y fácilmente puedes obtener la ecuación de la recta.
Hola, chicos necessito que me digáis si lo tengo bien.
1)
a) Son base de R3, linealmente independientes
b) 2/3 1/3 -5/9
c) 3/2 1/2 -1/2
2)
continua en todo dominio menos 1, hay discontinuidad asimptotica
AV en x=1 y x=-1 y AH en y=0
Decrecer (-infinito a 0) y crece de 0 a más infinito
0 es un mínimo
Hola!
Alguien me podría ayudar con este problema sobre el "principio de las cajas"?
Un deportista ha entrenado 42 horas a lo largo de 8 días consecutivos (se supone que cada día lo ha hecho un número entero de horas). El entrenador ha organizado su entrenamiento en sesiones de dos días seguidos. Calcula el mayor valor de x, para el que se puede asegurar que hubo una sesión en la que el deportista entrenó, al menos, un total de x horas.
Muchas gracias y un saludo

¡Hola! Nos encantaría ayudarte, pero no solemos responder dudas universitarias que no tengan que ver específicamente con los vídeos que David Calle ha grabado como excepción. O de otras asignaturas que no sean Matemáticas, Física y Química. Lo sentimos de corazón… Esperamos que lo entiendas.
Ojalá algún unicoo universitario se anime a ayudarte (de hecho, lo ideal es que todos los universitarios intentarais ayudaros los unos a los otros).
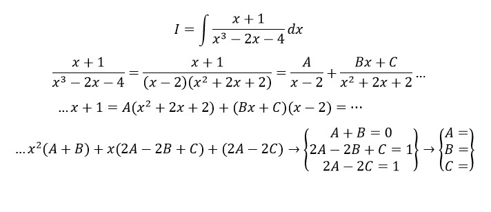
∫x+1/x3-2x-4 dx
Alguien me puede ayudar con esta integral por favor?
Gracias de antemano.