se trata de un problema de extremos con una función de variable real...


¡Hola! Nos encantaría ayudarte, pero no solemos responder dudas universitarias que no tengan que ver específicamente con los vídeos que David Calle ha grabado como excepción. O de otras asignaturas que no sean Matemáticas, Física y Química. Lo sentimos de corazón… Esperamos que lo entiendas.
Ojalá algún unicoo universitario se anime a ayudarte (de hecho, lo ideal es que todos los universitarios intentarais ayudaros los unos a los otros).

1. Si se cumple Δf=fxx+fyy=0
fxx(Po) + fyy(Po)=0
como fxx(Po) > 0 entonces necesariamente fyy(Po)<0
El criterio del Hessiano dice que si |H(Po)|<0, Po es punto silla, por lo que no es extremo
|H(Po)|= fxx(Po)*fyy(Po)-fxy(Po)^2 <0 (será necesariamente negativo ya que el primer sumando es negativo por ser ambos fxx y fyy de distintos signos, y el segundo tambien es negativo ya que es -fxy^2 (fxy^2 ≥0)
2. Como la función es continua (por ser C^2) los valores extremos estarán o en los puntos críticos o en la frontera, como ya se vió que no hay puntos críticos (|H|<0) los valores maximos y minimos estarán en la frontera de D, pero como la frontera de D tiene un valor constante igual a cero (es el maximo y mínimo valor en toda la región), entonces en todo D la función vale 0

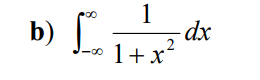
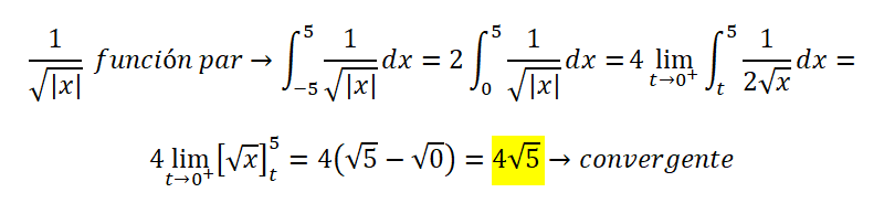
Observa que es una integral impropia, y que la función a integrar tiene dominio D = R, y que es una función par (para todo x real se cumple:
f(-x) = f(x)).
Luego, plantea el límite de la integral definida con límites de integración genéricos:
I = Lím(a→+∞) -a∫a 1/(1+x2) dx, aplicas la propiedad de las integrales de funciones pares, y queda:
I = 2*Lím(a→+∞) 0∫a 1/(1+x2) dx, integras, y queda:
I = 2*Lím(a→+∞) [ arctan(x) ], evalúas con Regla de Barrow entre 0 y a, y queda:
I = 2*Lím(a→+∞) [ arctan(a) - arctan(0) ], cancelas el segundo término (observa que es igual a cero), y queda:
I = 2*Lím(a→+∞) arctan(a), resuelves el límite (observa que es directo), y queda:
I = 2*π/2, simplificas, y queda:
I = π.
Espero haberte ayudado.
Realiza esta suma algebraica
(x/x2 +x)-(2/x-1)+(2x/x3 -x)

Factorizas los denominadores en el primero y en el tercer término, y queda:
x / x(x+1) - 2 / (x-1) + 2x / x(x2-1).
Simplificas en el primero y en el tercer término, y queda:
1/(x+1) - 2/(x-1) + 2/(x2-1).
Factorizas en el denominador del tercer término, y queda:
1/(x+1) - 2/(x-1) + 2 / (x+1)(x-1).
Multiplicas al numerador y al denominador del primer término por (x-1), multiplicas al numerador y al denominador del segundo término por (x+1), y queda:
1(x-1) / (x+1)(x-1) - 2(x+1) / (x-1)(x+1) + 2 / (x+1)(x-1).
Extraes denominador común, y queda:
[1(x-1) - 2(x+1) + 2] / (x+1)(x-1).
Distribuyes en el primero y en el segundo término del numerador, reduces términos semejantes, y queda:
[-x-1] / (x+1)(x-1).
Extraes factor común en el numerador, y queda:
-1(x+1) / (x+1)(x-1).
Simplificas, y queda:
-1/(x-1).
Espero haberte ayudado.