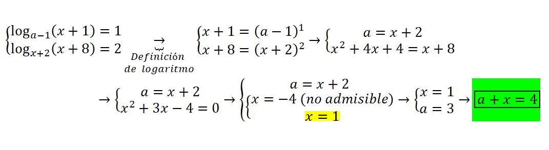
Si el vector W en la base b = (1,1,0), (1,0,1), (-1,-1,1) tiene coordenadas wb= (2,2,1), ¿cuales son las coordenadas de w en la base canonica?
He hecho esto
(2,2,1) =k1* (1,0,0) +k2*(0,1,0) +k3*(0,0,1)
2=k1
2=k2
1=k3 Coordenadas de w en base canonica són (2,2,1), ¿es correcto?

Observa que tienes la expresión de una función polinómica, cuyo dominio es R2.
Luego, plantea las expresiones de sus funciones derivadas parciales primeras:
fx = -y2 + cy,
fy = 3ay2 - 2xy + cx.
Luego, plantea la condición de punto estacionario:
fx = 0.
fy = 0;
sustituyes expresiones, y queda:
-y2 + cy = 0 (1),
3ay2 - 2xy + cx = 0 (2);
luego, observa que la ecuación señalada (1) es polinómica cuadrática, cuyas soluciones son:
1)
y = 0, que al reemplazar en la ecuación señalada (2y después de cancelar términos nulos, queda:
cx = 0, que conduce a dos opciones:
1a)
si c ≠ 0, haces pasaje de factor como divisor, y queda: x = 0, y tienes el punto estacionario: A(0,0);
1b)
si c = 0, tienes que la ecuación se verifica para todo x real, y tienes el conjunto de puntos estacionarios: B = {(x,0), con x ∈ R};
2)
y = c, que al reemplazar en la ecuación señalada (2), queda:
3ac2 - cx = 0, haces pasaje de término, y queda:
-cx = -3ac2, que conduce a dos opciones:
2a)
si c ≠ 0, haces pasaje de factor como divisor, y queda: x = 3ac, y tienes el punto estacionario: C(3ac,c);
2b)
si c = 0, reemplazas y tienes una identidad verdadera para todo x real , que conduce al conjunto de puntos estacionarios: B = {(x,0), con x ∈ R}.
Luego, plantea las expresiones de las funciones derivadas parciales segundas:
fxx = 0,
fxy = -2y + c,
fyx =-2y + c,
fyy = 6ay - 2x;
luego, planteas la expresión del discriminante (hessiano): H(x,y) = fxx*fyy - fxy*fyx, y la evalúas para los puntos estacionarios que tienes determinados:
1a)
si c ≠ 0, queda:
H(0,0) = 0*0 - c*c = -c2< 0, y, por el criterio de las derivadas segundas,
tienes que la gráfica de la función presenta ensilladura en el punto A(0,0);
1b) y 2b)
si c = 0, queda:
H(x,0) = 0*(6ay - 2x) - (-2x)*(-2x) = -4x2< 0, y, por el criterio de las derivadas segundas,
tienes que la gráfica de la función presenta ensilladuras en los puntos del conjunto B = {(x,0), con x ∈ R};
2a)
H(3ac,c) = 0*0 - (-c)*(-c) = -c2 < 0, y, por el criterio de las derivadas segundas,
tienes que la gráfica de la función presenta ensilladura en el punto C(3ac,c).
Luego, observa que el punto P(15,5) corresponde a la opción 2a), para a = 5.
Espero haberte ayudado.
Los vectores (m,1) y (4,2) són base de R2 si
a) m es cualquier nombre real
b) m=2
c) ninguna de las anteriores
Creo que es la C, y ja que con m=2 no son base, el determinante es 0
Los vectores (1,2) , (1,7), (0,4)
Creo que son linealmente independientes ya que el rango es 2,¿ me lo pueden confirmar?
Gracias
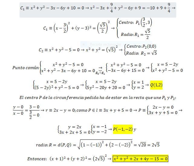
Ayuda por favor. Como puedo hallar la cincunferencia tangente a las dos circuferencias?? Se que tendran un punto en comun. Pero como calculo este ?? Y ademas indica pasar por una recta.
Espero alguien me ayude. Gracias.