hola,mañana tengo un examen de integrales y derivadas y necesito ayuda con como calcular la derivada de la función f(x) = x / √3 x 2 + 2 y también su integral entre el pto 0 y -1
si me podéis ayudar estaría muy agradecido
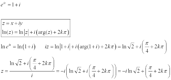
Hola me podrían ayudar con este teorema (que en realidad no se si es teorema).
Pero necesito la desmotración de :
Convergencia de Jabobi por matriz estrictamente dominante diagonalmente por filas
No lo encontre en internet a la demostración, si me alguien me la puede pasar se lo agradecería

¡Hola! Nos encantaría ayudarte, pero no solemos responder dudas universitarias que no tengan que ver específicamente con los vídeos que David Calle ha grabado como excepción. O de otras asignaturas que no sean Matemáticas, Física y Química. Lo sentimos de corazón… Esperamos que lo entiendas.
Ojalá algún unicoo universitario se anime a ayudarte (de hecho, lo ideal es que todos los universitarios intentarais ayudaros los unos a los otros).
Buenas, el ejercicio me ha salido prácticamente al 100% pero el apartado c es imposible para mi, no me sale. Por favor, alguien podría ayudarme, muchas gracias
El enunciado es:
El departamento de compras de un centro comercial ha encargado un estudio sobre el uso de la tarjeta de crédito. En ese establecimiento, entre las mujeres el 45% paga sus compras mediante tarjeta, mientras que sólo un 30% de los hombres utiliza este medio de pago. Si un 55% de los clientes del centro comercial son mujeres, calcula:
C) El importe mensual de las compras realizadas con tarjeta de crédito es de 300€ para las mujeres y de 200€ para los hombres.
Define la aplicación que asocia a los sucesos el importe mensual de las compras realizadas, determinar la función de cuantía y calcular el importe medio mensual de compras realizadas.