hola, buenos días
Tengo un problema con un "problema" de mates que no consigo solucionar yo sola :-|
x elevado a x elevado a x elevado a x y asi hasta el infinito y mas allá =2
me podeís ayudar porelamordeundios !!!
gracias, gracias y gracias

¡Hola! Nos encantaría ayudarte, pero no solemos responder dudas universitarias que no tengan que ver específicamente con los vídeos que David Calle ha grabado como excepción. O de otras asignaturas que no sean Matemáticas, Física y Química. Lo sentimos de corazón… Esperamos que lo entiendas.
Ojalá algún unicoo universitario se anime a ayudarte (de hecho, lo ideal es que todos los universitarios intentarais ayudaros los unos a los otros).
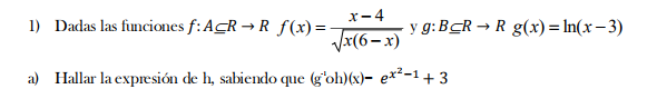
OTRO EJERCICIO
Por favor no logro entender lo de composicion de funciones, ya vi videos de David sobre composicion, pero el no explica las condiciones de restringir el dominio para el cual se pueda llegar a aceptar tal composicion, o de que para que exista la inversa tiene que ser biyectiva, no se como lograr la biyectividad en algunas funciones, tal vez en este caso no haga falta .
Por favor no logro entender lo de composicion de funciones, ya vi videos de David sobre composicion, pero el no explica las condiciones de restringir el dominio para el cual se pueda llegar a aceptar tal composicion, o de que para que exista la inversa tiene que ser biyectiva, no se como lograr la biyectividad en algunas funciones, tal vez en este caso no haga falta .
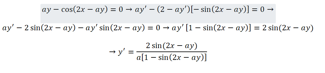
Sí, "a" es una constante.
https://www.unicoos.com/video/matematicas/universidad/calculo/derivadas/derivada-implicita-01
https://www.unicoos.com/video/matematicas/universidad/calculo/derivadas/derivada-implicita-02
https://www.unicoos.com/video/matematicas/universidad/calculo/derivadas/derivada-implicita-03
Hola queria saber como queda este ejercicio, lo hice pero no entiendo como utilizar los resultados del teorema:
Utilizar el teorema del valor medio para integrales para hallar un rectangulo de base [0,1], de igual area que ∫entre 1 y 0 de x7 dx