
¡Hola! Nos encantaría ayudarte, pero no solemos responder dudas universitarias que no tengan que ver específicamente con los vídeos que David Calle ha grabado como excepción. O de otras asignaturas que no sean Matemáticas, Física y Química. Lo sentimos de corazón… Esperamos que lo entiendas.
Ojalá algún unicoo universitario se anime a ayudarte (de hecho, lo ideal es que todos los universitarios intentarais ayudaros los unos a los otros).
Hola me podrían a ayudar a resolver esto? muchas gracias
h(x)= ln(x √x+1)
Hallar los xo εℛ tales que la recta tangente al grafio sea paralela a la recta de la ecuacion y=x
Alguien me ayuda con este problema?
Tienes 100 euros que tienes que gastar en 100 animales y debes tener al menos uno de cada especia.
20 Cabras valen 1€
1 Burro vale 1€
1 Camello 5€
Yo he planteado estas ecuaciones... pero nunca obtengo un buen resultado...
x + y +z = 100
x + 5y + 0'05z = 100

5)
Puedes llamar x a la longitud de la arista de la base, y puedes llamar y a la longitud de la altura del tanque.
Luego, tienes que la expresión del área de la base es: x2.
Luego, tienes que la expresión del área de las cuatro paredes es: 4xy.
Luego, tienes el valor del área total, por lo que puedes plantear la ecuación:
x2 + 4xy = 1200 (observa que x e y expresan longitudes, por lo que deben tomar valores estrictamente positivos);
luego, haces pasaje de término, y queda: 4xy = 1200 - x2;
luego, divides en todos los términos por 4x (observa que toma valores estrictamente positivos), y queda:
y = 300/x - (1/4)x (1).
Luego, plantea la expresión del volumen:
V = x2y, luego sustituyes la expresión señalada (1), y queda:
V = x2(300/x - (1/4)x), distribuyes, y queda:
V = 300x - (1/4)x3, que es la expresión del volumen en función de la longitud de la arista de la base del tanque.
Luego, plantea las expresiones de las funciones derivadas primera y segunda:
V ' = 300 - (3/4)x2 (2);
V ' ' = - (3/2)x (3).
Luego, plantea la condición de punto crítico (posible máximo o posible mínimo):
V ' = 0, sustituyes la expresión señalada (2), y queda:
300 - (3/4)x2 = 0, multiplicas en todos los términos de la ecuación por -4/3, y queda:
-400 + x2 = 0, haces pasaje de término, y queda:
x2 = 400, haces pasaje de potencia como raíz (recuerda que x toma valores estrictamente positivos), y queda: x = 20 cm;
luego, evalúas la expresión de la función derivada segunda señalada (3), y queda:
V ' ' (20) = -30 < 0, por lo que tienes que la gráfica de la función es cóncava hacia abajo en este punto crítico, por lo que corresponde a un máximo relativo;
luego, evalúas en la expresión señalada (1), y queda:
y = 300/20 - (1/4)20 = 15 - 5 = 10, por lo que tienes que la longitud de la altura del tanque es: y =10 cm;
luego, evalúas en la expresión del volumen, y queda:
V = 20210 = 400*10 = 4000, por lo que tienes que el volumen del tanque es: V = 4000 cm3.
Espero haberte ayudado.
hola buenos dias. tengo resuelto este ejercicio pero necesito corregir si esta bien.
halla la inversa de la matriz ( 2 1 0
-1 3 4
0 5 1)
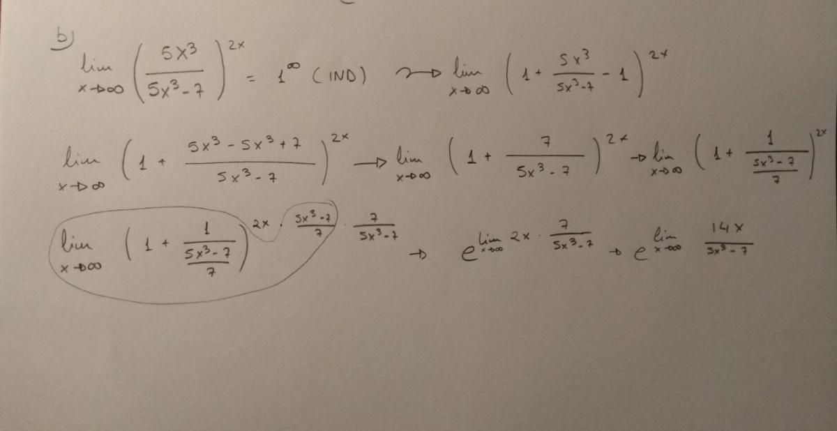
Hola, muy buenas.
Tengo este límite que me da IND 1^∞
me falta despejar el último paso, si alguien me ayuda lo agradecería.

Vas muy bien, y lo más complicado ya lo tienes resuelto.
Luego, debes extraer factor común en el denominador del argumento del límite en el exponente:
Lím(x→+∞) 14x / (5x3-7) = Lím(x→+∞) 14x / x3(5-7/x3) = simplificas = Lím(x→+∞) 14 / x2(5-7/x3) = 0,
porque el numerador es constante positivo, y el denominador tiende a +infinito.
Luego, el límite de tu enunciado queda:
L = e^Lím(x→+∞) 14x / (5x3-7) = e0= 1.
Espero haberte ayudado.

a)
Vamos con cada término por separado:
(5 - i)2 = 25 - 10i + i2 = 25 - 10i + (-1) = 25 - 10i - 1 = 24 - 10i.
1/(2 + i) = 1(2-i) / (2+i)(2-i) = (2 - i) / (4 -2i+2i-i2) = (2-i) / ( 4-(-1) ) = (2-i)/5 = 2/5 - (1/5)i.
Luego, reemplazas en la ecuación del enunciado, y queda:
24 - 10i = 3z - (2/5 - (1/5)i, distribuyes el signo en el último término, y queda:
24 - 10i = 3z - 2/5 + (1/5)i, multiplicas por 5 en todos los términos de la ecuación, y queda:
120 - 50i = 15z - 2 + 1i, haces pasajes de términos, y queda:
-15z = -2 + 1i - 120 + 50i, reduces términos reales y términos imaginarios en el segundo miembro, y queda:
-15z = -122 + 51i, divides por -15 en todos los términos de la ecuación, simplificas el coeficiente en el último término, y queda:
z = 122/15 - (17/5)i.
b)
Comienza con el primer término:
(1 - (7/3)i)*(2 - 5i) = distribuyes = 2 - 5i - (14/3)i + (35/3)i2 = 2 -5i - (14/3)i + (35/3)(-1) = 2 - 5i - (14/3)i - 35/3 = -29/3 - (29/3)i;
luego, reemplazas, y la ecuación del enunciado queda:
-29/3 - (29/3)i + (1/2)z = 0, multiplicas por 6 en todos los términos de la ecuación, y queda:
-58 - 58i + 3z = 0, haces pasajes de términos, y queda:
3z = 58 + 58i, divides por 3 en todos los términos de la ecuación, y queda:
z = 58/3 + (58/3)i.
Espero haberte ayudado.